των Jason Hickel, Morena Hanbury Lemos, και Felix Barbour
Nature Communications, Ιούλιος 29, 2024
μετ. Δημοσθένης Γκότσης
επιμ. Διονύσης Περδίκης, Δημήτρης Κούλος
Μεταφράζουμε και αναδημοσιεύουμε τη μελέτη των Jason Hickel, Morena Hanbury Lemos, και Felix Barbour με τίτλο Άνιση ανταλλαγή εργασίας στην παγκόσμια οικονομία (Unequal exchange of labour in the world economy) από το περιοδικό Nature Communications, δηλ. μια από τις πιο πρόσφατες και κατατοπιστικές μελέτες για το ζήτημα της άνισης ανταλλαγής και των μεταφορών (υπερ)αξίας διά του εμπορίου μεταξύ των χωρών στη σύγχρονη, ιμπεριαλιστικά διεθνοποιημένη, καπιταλιστική παραγωγή.
Πέρα από τις όποιες μεθοδολογικές επιφυλάξεις που μπορεί να υπάρχουν για κάθε τέτοια μελέτη που προσπαθεί να εκτιμήσει ποσοτικά, με εμπειρικό τρόπο, κατηγορίες της μαρξιστικής πολιτικής οικονομίας στη βάση των διαθέσιμων στοιχείων της αστικής στατιστικής, τα αποτελέσματα της μελέτης είναι συγκλονιστικά ως προς το μέγεθος της άνισης ανταλλαγής και της ιμπεριαλιστικής εκμετάλλευσης, ενώ επιβεβαιώνονται από μια εκτενή σειρά αντίστοιχων μελετών που ακολουθούν διαφορετικές μεθοδολογίες (βλ. εδώ για μια σχετική βιβλιογραφική συλλογή). Αφήνουμε τον αναγνώστη να εκτιμήσει τα μεγέθη αυτά και τις πολιτικές τους συνέπειες χωρίς περαιτέρω σχολιασμό από την πλευρά μας, εκτός από ένα πολιτικό σχόλιο και ορισμένες μεθοδολογικές παρατηρήσεις που ακολουθούν.
Όσον αφορά το πολιτικό σχόλιο, η παρούσα μελέτη έρχεται να προστεθεί σε μια πλούσια βιβλιογραφία που υποστηρίζει ότι (α) το μεγαλύτερο μέρος της παραγωγικής εργασίας συγκεντρώνεται στις αναπτυσσόμενες χώρες του λεγόμενου παγκόσμιου Νότου, (β) ότι μόνο ένα μικρό μέρος της παραχθείσας αξίας συσσωρεύεται ή καταναλώνεται στις χώρες όπου παράγεται, (γ) με αποτέλεσμα ένα πλεόνασμα της τάξης του 10-15% περίπου της παραγωγής των αναπτυσσόμενων χωρών να χρηματοδοτεί κατά προσέγγιση το 50% της κατανάλωσης των ανεπτυγμένων χωρών του λεγόμενου παγκόσμιου Βορρά. (Σημειώνουμε εδώ ότι κάποιες χώρες, όπως η Ελλάδα, ομαδοποιούνται στις ανεπτυγμένες χώρες με βάση τη στατιστική του ΔΝΤ (βλ. Συμπληρωματικό Πίνακα 1), χωρίς αυτό να σημαίνει ότι επωφελούνται όντως της άνισης ανταλλαγής, εάν μελετηθούν τα στοιχεία που τους αφορούν κατ’ αποκλειστικότητα.)
Μια τέτοια σχέση ιμπεριαλιστικής εκμετάλλευσης απαιτεί μια μεγάλη μάζα υπερεκμεταλλευόμενης εργασίας στις εξαρτημένες χώρες για να παραχθεί το πλεόνασμα που μεταφέρεται στις ιμπεριαλιστικές χώρες. Κατά συνέπεια, οι ιμπεριαλιστικές χώρες και ο συνολικός πληθυσμός τους δεν μπορεί παρά να είναι σημαντικά μικρότερος από τον συνολικό πληθυσμό των εξαρτημένων χωρών (με δεδομένο ότι δεν υπάρχουν προς το παρόν εξωγήινοι για να τους εκμεταλλεύεται μια ανθρωπότητα αποτελούμενη κυρίως από «ιμπεριαλιστές»). Με άλλα λόγια, ο υπαρκτός κόσμος δεν αρκεί για να γεμίσει η γη με ιμπεριαλιστές, πόσο μάλλον αν λάβουμε υπόψη και τα περιβαλλοντικά όρια που διαρρηγνύονται από το σημερινό καπιταλιστικό μοντέλο παραγωγής και κατανάλωσης. Αναγκαστικά οι ιμπεριαλιστικές χώρες είναι λίγες, συγκεκριμένες και εκμεταλλεύονται τον υπόλοιπο κόσμο, την Παγκόσμια Πλειοψηφία.
Όσες πολιτικές δυνάμεις, της κομμουνιστικής και ριζοσπαστικής Αριστεράς, αντιλαμβάνονται την έννοια «ιμπεριαλιστικό/ή κράτος/χώρα» με άλλους τρόπους, είτε οικονομίστικους («η χώρα με ανεπτυγμένο καπιταλισμό ή με μονοπώλια, που εξάγει κεφάλαια κ.ο.κ.»), είτε με όρους επιθετικής, επεκτατικής, (δια)κρατικής πολιτικής («η χώρα που εμπλέκεται σε πολέμους, έχει μεγάλο στρατό, πυρηνικά όπλα κ.ο.κ.»), βλέποντας παντού στον κόσμο «ιμπεριαλιστές», έστω «αναδυόμενους/επίδοξους», επικεντρώνοντας, μάλιστα, στις χώρες που αντιστέκονται στην παγκόσμια ιμπεριαλιστική ηγεμονία, απλά συσκοτίζουν μια έννοια της οποίας η ουσία είναι η εθνική καταπίεση και εκμετάλλευση. Έτσι, στην πράξη, λειτουργούν απολογητικά για την ιμπεριαλιστική εκμετάλλευση και για τον καπιταλιστικό ιμπεριαλισμό εν γένει…
Όσο αφορά κάποιες μεθοδολογικές πλευρές, μεταφράσαμε και τη Συμπληρωματική Συζήτηση που συνοδεύει το άρθρο για να ξεκαθαριστεί περαιτέρω το ζήτημα της ποσοτικής εκτίμησης των διακρατικών μεταφορών (υπερ)αξίας και, ακόμη πιο ειδικά, το ερώτημα του αν μπορεί να εξηγηθεί αυτό με βάση τις διαφορές στην παραγωγικότητα.
Μια τέτοια σύνδεση της παραγωγικότητας με τους μισθούς υποστηρίζει ότι μπορεί οι μισθοί στις αναπτυσσόμενες χώρες να είναι πολύ χαμηλότεροι από ότι στις ανεπτυγμένες, αλλά αυτό δεν αποτελεί απόδειξη ή ένδειξη άνισης ανταλλαγής ή, γενικότερα, ιμπεριαλιστικής εκμετάλλευσης, διότι δήθεν οι εργαζόμενοι στις ανεπτυγμένες χώρες δεν καταναλώνουν μόνο περισσότερη αξία, αλλά και παράγουν περισσότερη αξία, λόγω της αυξημένης παραγωγικότητάς τους.
Οι συγγραφείς προσφέρουν πολύ ισχυρά επιχειρήματα ως προς το γιατί κάτι τέτοιο δεν ισχύει. Σωστά διακρίνουν μεταξύ
- της παραγωγικότητας που είναι ιδιότητα της συγκεκριμένης εργασίας που παράγει συγκεκριμένες αξίες χρήσης και, άρα, μετριέται σε μάζα παραγόμενου προϊόντος ανά εργατοώρα, και
- της προστιθέμενης αξίας, που προκύπτει από τη παραγωγή αξίας από την αφηρημένη εργασία και τη διανομή της στη διεθνή αγορά και εξαρτάται από το ύψος των μισθών, δηλ. από αυτό που πρέπει τελικά να εξηγηθεί (δηλ. τις μισθολογικές ανισότητες στις διαφορετικές χώρες)!
Επιπλέον, οι συγγραφείς επισημαίνουν ότι σε καμία περίπτωση οι μισθολογικές ανισότητες δεν συγκρίνονται ποσοτικά με τις όποιες διαφορές στην παραγωγικότητα, ακόμη κι εκεί που οι παραγωγικότητες της συγκεκριμένης εργασίας μπορούν να συγκριθούν (δηλ. σε παρόμοιες συγκεκριμένες εργασίες). Αυτά τα επιχειρήματα είναι από μόνα τους πολύ σημαντικά.
Ωστόσο, σε αυτό το σημείο θα μπορούσε να γίνει μια μεθοδολογική κριτική, διότι η κατάσταση είναι ακόμη χειρότερη και πιο ξεκάθαρη εις βάρος της υπερεκμεταλλευόμενης εργασίας του παγκόσμιου Νότου.
Ο Μαρξ στο Κεφάλαιο, προκειμένου να υπολογίσει την παραγωγή της αξίας σε μια ενιαία κοινωνία, ακολουθεί την παρακάτω διαδικασία με τις ακόλουθες θεωρητικές παραδοχές (βλ. για μια σχετική συνοπτική περιγραφή εδώ):
(α) Καταρχήν, ανάγει τη σύνθετη εργασία σε απλή, μέσω της αναγωγής της αξίας της ειδικευμένης εργασιακής δύναμης που την επιτελεί, σε ένα μεγαλύτερο ποσό αξίας (πολλαπλάσιο ή υψωμένο σε δύναμη) από την αξία της ανειδίκευτης εργασιακής δύναμης που επιτελεί απλή εργασία. Αυτό υποτίθεται συμβαίνει μέσα από τον ανταγωνισμό των εργασιακών δυνάμεων και των ατομικών κεφαλαίων σε όλους τους συνδυασμούς στην ενιαία αγορά.
(β) Στη συνέχεια, προϋποτίθεται ότι, ακριβώς λόγω του ελεύθερου ανταγωνισμού σε μια ενιαία αγορά και κοινωνία, στον μεσο-/μακρο-πρόθεσμο χρονικό ορίζονται κυριαρχούν τάσεις εξίσωσης των παρακάτω μεγεθών: (1) αξία της εργασιακής δύναμης σε μια δεδομένη στιγμή (άρα εξίσωση της αξίας της απλής εργασιακής δύναμης και ένας ενιαίος τρόπος αναγωγής της σύνθετης σε απλή, ή με άλλα λόγια, οι μισθοί των εργαζομένων που μπορούν να εκτελέσουν αντίστοιχης συνθετότητας εργασία είναι παρόμοιοι), (2) ποσοστό υπεραξίας, δηλ. ο συντελεστής με τον οποίο πρέπει να πολλαπλασιαστεί το μεταβλητό κεφάλαιο (δηλ. οι συνολικοί μισθοί του συνολικού εργάτη μιας επιχείρησης), προκειμένου να υπολογιστεί η παραγωγή της υπεραξίας, κάτι που συμπεριλαμβάνει και την ένταση της εργασίας και το μέγεθος της εργάσιμης μέρας.
Υπό αυτές τις παραδοχές, λοιπόν, η παραγωγή νέας αξίας δίνεται από τις παρακάτω εξισώσεις:
μεταβλητό κεφάλαιο = μισθοί =
αξία ανειδίκευτης εργασιακής δύναμης x
συντελεστής αναγωγής της ειδικευμένης εργασιακής δύναμης σε ανειδίκευτη
νέα αξία = (1 + ποσοστό υπεραξίας) x μεταβλητό κεφάλαιο
Ενώ η υπεραξία δίνεται από το γινόμενο:
υπεραξία = νέα αξία * ποσοστό υπεραξίας
Επομένως, οι τεχνολογικές διαφορές μεταξύ των κλάδων και των επιχειρήσεων και, άρα, οι διαφορές ως προς την παραγωγικότητα της συγκεκριμένης εργασίας, δεν παίζουν κανέναν απολύτως ρόλο στον υπολογισμό της παραγόμενης (υπερ)αξίας. Συγκεκριμένα, η αυξημένη (ή μειωμένη) παραγωγικότητα σε μια επιχείρηση μεταβάλει την ποσότητα αξιών χρήσης που παράγεται ανά εργατοώρα, αλλά όχι την αξία στην οποία αυτές αντιστοιχούν, καθώς η αξία της κάθε αξίας χρήσης εξαρτάται από τον κοινωνικά αναγκαίο χρόνο παραγωγής της και όχι από τον χρόνο στον οποίο την παράγει μια συγκεκριμένη ατομική επιχείρηση, δηλ. η αξία υπολογίζεται με βάση τη μέση παραγωγικότητα του κλάδου και όχι με βάση την παραγωγικότητα της ατομικής επιχείρησης! Κατ’ αντιστοιχία, δεν παίζουν ρόλο ως προς αυτό ούτε οι διαφορές στην οργανική σύνθεση του κεφαλαίου ανάμεσα στους διαφορετικούς κλάδους. Αυτές παίζουν ρόλο μόνο στο πως θα διανεμηθεί η υπεραξία ανάμεσα στους κλάδους, κατά την εξίσωση του ποσοστού κέρδους του κάθε κλάδου με το γενικό, μέσο, ποσοστό κέρδους όλης της κοινωνίας.
Το ερώτημα είναι πως πρέπει να αναπροσαρμοστεί ο υπολογισμός αυτός στην περίπτωση της διεθνούς αγοράς που είναι κατακερματισμένη από τα κρατικά σύνορα.
Η άποψη που υποστηρίζει ότι οι εργαζόμενοι των αναπτυγμένων χωρών καταναλώνουν περισσότερη αξία διότι παράγουν περισσότερη αξία βασίζεται σε αφαιρέσεις που θα ήταν εφαρμοστέες αν (α) οι διαφορετικές χώρες δεν αλληλεπιδρούσαν καθόλου, ως αν να αποτελούν κοινωνίες που αντιστοιχούν σε διαφορετικά ιστορικά επίπεδα ανάπτυξης της ίδιας, ενιαίας κοινωνίας, ή αν (β) αλληλεπιδρούσαν αποκλειστικά μέσω του εμπορίου και, μάλιστα, έχοντας παρόμοια παραγωγική, κλαδική σύνθεση, ως αν, δηλ., να αντάλλασσαν παρόμοια εμπορεύματα, στα οποία η παραγωγικότητα να μπορεί να συγκριθεί.
Ωστόσο η πραγματικότητα είναι τελείως διαφορετική, και περίπου ως εξής:
α. Διαφορετικά επίπεδα ανάπτυξης της κάθε χώρας και γεωγραφικές/φυσικές διαφορές αντιστοιχούν σε διαφορετική κλαδική σύνθεση των παραγωγικών δραστηριοτήτων με διαφορετική συνθετότητα εργασίας, και, άρα, διαφορετικές απαιτήσεις ειδίκευσης και κατανάλωσης της εργασιακής δύναμης και, συνεπώς, και της αξίας της.
β. Διαφορετικές συνθήκες της ταξικής πάλης οδηγούν σε διαφορετική τιμή της εργασιακής δύναμης (απλής και σύνθετης) και διαφορετικό ποσοστό υπεραξίας (δηλ. βαθμό εκμετάλλευσης, συμπεριλαμβανομένης της έντασης της εργασίας και του μεγέθους της εργάσιμης ημέρας).
γ. Η εργασιακή δύναμη δεν κυκλοφορεί ελεύθερα ανάμεσα στις χώρες διά των κρατικών συνόρων, συντηρώντας τις παραπάνω διαφορές.
δ. Η παραγωγική διαφοροποίηση των χωρών συνδυάζεται με τον διαχωρισμό μεταξύ ενός τομέα της παραγωγής το προϊόν του οποίου καταναλώνεται αποκλειστικά εγχωρίως, ειδικά όταν πρόκειται για την κατανάλωση της εργασιακής δύναμης που καθορίζει την αξία της, και ενός τομέα παραγωγής διεθνών εμπορεύσιμων προϊόντων προς εξαγωγή.
ε. Η καπιταλιστική παραγωγή έχει διεθνοποιηθεί με κεφάλαιο ιδιοκτησίας της αστικής τάξης των ανεπτυγμένων χωρών να επενδύεται παραγωγικά στις αναπτυσσόμενες χώρες, εκμεταλλευόμενο εργασιακή δύναμη που αναπαράγεται σε αυτές, ενώ αναπτύσσονται και ιεραρχικές σχέσεις ανισότιμης ισχύος μεταξύ, από τη μια, εταιρειών των ανεπτυγμένων χωρών που ηγούνται των αντίστοιχων τομέων παραγωγής και, από την άλλη, προμηθευτών τους που εκτελούν την καθ’ αυτό παραγωγή στις αναπτυσσόμενες χώρες.
Με τα δεδομένα αυτά, πρέπει να δεχτούμε ότι (α) ενώ μπορούν να συγκριθούν οι μισθοί μόνο ανάμεσα σε εργασιακές δυνάμεις που εκτελούν παρόμοιες εργασιακές δραστηριότητες, που αντιστοιχούν, επομένως, και σε εργασία παρόμοιας συνθετότητας, κάτι που ισχύει γενικά για τις υπηρεσίες, όπως και τις αγροτικές ή βιομηχανικές δραστηριότητες που η τεχνολογία είναι παρόμοια, (β) στο θέμα της παραγωγής (υπερ)αξίας, αντίθετα, δεν τίθεται κανένα τέτοιο θέμα σύγκρισης, άσχετα από τυχόν διαφορές στην παραγωγικότητα της συγκεκριμένης εργασίας. Δεν υπάρχει, καταρχήν, κανένας λόγος να συγκριθεί καν η διαφορά της παραγωγικότητας με τη διαφορά των μισθών.
Αν θα έπρεπε κάτι να συγκριθεί είναι μόνο η διαφορά των μισθών με τη διαφορά της συνθετότητας της εργασίας, όπου και όπως μπορεί να γίνει αυτή η σύγκριση, δηλ. με τη διαφορά της ειδίκευσης του συνολικού εργάτη μιας επιχείρησης. Η απευθείας σύγκριση του λόγου των παραγωγικοτήτων με αυτού των μισθών υποκρύπτει μια λανθασμένη παραδοχή: ότι ο λόγος των παραγωγικοτήτων (δηλ. πόσες -παρόμοιες- αξίες χρήσεις παράγονται ανά εργατοώρα) δήθεν αντιστοιχεί στον λόγο της αναγωγής της σύνθετης εργασίας σε απλή στις δύο υπό σύγκριση παραγωγικές διαδικασίες εντός του ίδιου κλάδου. Στην πραγματικότητα δεν υπάρχει κανένας λόγος να υποθέσουμε ότι ισχύει κάτι τέτοιο. Μπορεί κάλλιστα να ισχύει το αντίθετο: μια πιο παραγωγική τεχνική, με χρήση πιο εξελιγμένων μηχανών, να απαιτεί συνολικά πιο απλή εργασία από έναν συνολικά (κατά μέσο όρο) πιο ανειδίκευτο συνολικό εργάτη της πιο παραγωγικής επιχείρησης!
Επομένως, ακόμη και αυτή η σύγκριση αλά Σαμίρ Αμίν, των λόγων των μισθών και των παραγωγικοτήτων σε συγκρίσιμους παραγωγικούς κλάδους διεθνών εμπορεύσιμων προϊόντων, συνιστά μια άδικη σύγκριση εις βάρος της υπερεκμεταλλευόμενης εργασίας του παγκόσμιου Νότου.
Εδώ, βέβαια, χρειάζεται να ασχοληθούμε λίγο περισσότερο με τις διαφορές στην παραγωγικότητα, όχι απαραίτητα στην παραγωγή των διεθνώς εμπορεύσιμων προϊόντων, αλλά του τομέα παραγωγής των εμπορευμάτων που καταναλώνει η εργασιακή δύναμη σε κάθε χώρα, και, επομένως, καθορίζουν την αξία της. Γενικότερα, χρειάζεται να ασχοληθούμε με τον ρόλο που παίζει η διαφορά των μισθών στην άνιση ανταλλαγή.
Ας υποθέσουμε, λοιπόν, ότι οι διαφορές στα επίπεδα ανάπτυξης και στην ταξική πάλη μεταξύ των ανεπτυγμένων, ιμπεριαλιστικών και των αναπτυσσόμενων, υπό εκμετάλλευση, χωρών, έχουν τις εξής συνέπειες:
(α) Η εργασιακή δύναμη στις ανεπτυγμένες χώρες καταναλώνει ανώτερη ποιότητα και ποσότητα αξιών χρήσης, εν μέρει διότι αυτό είναι απαραίτητο για να απασχοληθεί σε εργασίες αυξημένης συνθετότητας (π.χ. χρειάζεται περισσότερα χρόνια εκπαίδευσης) και εν μέρει διότι υπόκειται σε μικρότερο βαθμό εκμετάλλευσης, σε σχέση με την εργασιακή δύναμη στις αναπτυσσόμενες χώρες.
(β) Πιο συγκεκριμένα, ας υποθέσουμε ότι η εργασιακή δύναμη στις ανεπτυγμένες χώρες καταναλώνει (1) αξίες χρήσης που παράγονται εγχωρίως και είναι παρόμοιας ποιότητας με τις αξίες χρήσης που καταναλώνει η εργασιακή δύναμη των αναπτυσσόμενων χωρών, αλλά παράγονται με υψηλότερη παραγωγικότητα (π.χ. σπίτια), (2) αξίες χρήσης που παράγονται εγχωρίως και τις οποίες δεν καταναλώνει η εργασιακή δύναμη των αναπτυσσόμενων χωρών (π.χ. υπηρεσίες εκπαίδευσης, υγείας και ελεύθερου χρόνου που απαιτούν ειδικευμένη εργασιακή δύναμη που επιτελεί σύνθετη εργασία για να παραχθούν), και (3) αξίες χρήσης που είναι διεθνώς εμπορεύσιμα αγαθά που παράγονται από την εργασιακή δύναμη των αναπτυσσόμενων χωρών (π.χ. κάποια τρόφιμα, ενδύματα, ηλεκτρονικά είδη), ενώ, αντίθετα, η εργασιακή δύναμη στις αναπτυσσόμενες χώρες καταναλώνει, κυρίως, αξίες χρήσης που παράγονται εγχωρίως και δεν είναι διεθνώς εμπορεύσιμα αγαθά, και, μάλιστα, με παραγωγικότητα χαμηλότερη από ότι αυτή των αντίστοιχων κλάδων των ανεπτυγμένων χωρών (π.χ. τρόφιμα, ενδύματα, σπίτια) ή χαμηλότερης ποιότητας (π.χ. υπηρεσίες παιδείας και υγείας χαμηλότερης ποιότητας).
Με βάση τις παραπάνω υποθέσεις, εξηγείται γιατί η εργασιακή δύναμη στις ανεπτυγμένες χώρες είναι ακριβότερη από ότι στις αναπτυσσόμενες. Ωστόσο, οι διαφορές στην παραγωγικότητα κατά την παραγωγή των αξιών χρήσης που καταναλώνει η εργασιακή δύναμη στους δύο τύπους χωρών δεν είναι ο κρισιμότερος παράγοντας για τους εξής λόγους:
(α) Μεγάλο μέρος των βασικών αξιών χρήσης, π.χ. τρόφιμα, ενδύματα, ηλεκτρονικές συσκευές κ.ο.κ., είναι διεθνώς εμπορεύσιμα προϊόντα που παράγονται από τη φτηνότερη εργασιακή δύναμη των αναπτυσσόμενων χωρών, ακόμη και αν αυτή τα καταναλώνει σε πολύ μικρότερο βαθμό από ότι η εργασιακή δύναμη των ανεπτυγμένων χωρών, οπότε και δεν υφίσταται θέμα διαφορών στην παραγωγικότητα.
(β) Η παραγωγικότητα στους τομείς των υπηρεσιών δεν μπορεί να διαφέρει πολύ, σε αντίθεση με την ποιότητα και ποσότητά τους που καταναλώνει η εργασιακή δύναμη στους δύο τύπους χωρών.
(γ) Ακόμη και στην περίπτωση που συγκρίνουμε την παραγωγικότητα στην παραγωγή αξιών χρήσης που καταναλώνουν οι εργασιακές δυνάμεις και στους δύο τύπους χωρών ενώ παράγονται εγχωρίως, π.χ. στην κατασκευή σπιτιών ή στην παραγωγή κάποιων αγροτικών προϊόντων, είναι θέμα διερεύνησης σε ποιο βαθμό αυτό εξηγεί πραγματικά την κατά τάξη μεγέθους μεγαλύτερη αγοραστική δύναμη των μισθών στις ανεπτυγμένες χώρες σε σχέση με τις αναπτυσσόμενες.
Συνολικά, οι παραπάνω διαφορές έχουν να κάνουν περισσότερο με την ποιοτική διαφορά των εργασιακών δυνάμεων, καθώς και με την ποσοτική και ποιοτική διαφορά των αξιών χρήσης που αυτές καταναλώνουν στους δύο τύπους χωρών, και ειδικότερα των αξιών χρήσης στους τομείς των υπηρεσιών εκπαίδευσης, υγείας, του ελεύθερου χρόνου κ.α., όπου η παραγωγικότητα δεν είναι εύκολο να αυξηθεί και η εργασία είναι αρκετά σύνθετη, οπότε και το κόστος τους είναι αυξημένο. Είναι κυρίως αυτές τις υπηρεσίες που δεν καταναλώνει και τόσο πολύ η εργασιακή δύναμη στις αναπτυσσόμενες χώρες, ή, ακόμη και στον βαθμό που τις καταναλώνει, είναι χαμηλότερου κόστους (όπως, συνήθως, και χαμηλότερης ποιότητας), διότι η αντίστοιχη εργασιακή δύναμη που τις παρέχει είναι επίσης φτηνότερη, εφόσον κι αυτή καταναλώνει, κατά τα άλλα, αξίες χρήσης που παράγονται κυρίως εγχώρια.
Συνολικά, είναι η διαφοροποίηση της κλαδικής σύνθεσης της παραγωγής, της θέσης της κάθε χώρας στον διεθνή καταμερισμό εργασίας, και των συνθηκών της ταξικής πάλης αυτό που αντανακλάται στις διαφορετικές αξίες (που εξαρτώνται από την ειδίκευση και τη συνθετότητα της εργασίας που δύναται να επιτελέσει) και τιμές (μισθούς) της εργασιακής δύναμης στους δύο τύπους χωρών. Διαφορετικές αξίες και τιμές, σε συνδυασμό με τον διαφορετικό βαθμό εκμετάλλευσης (μέγεθος εργάσιμης μέρας, ένταση εργασίας), οδηγούν σε διαφορετικά ποσοστά υπεραξίας. (Βλ. το έργο του Ρούι Μάουρο Μαρίνι για την τέτοια διαφοροποίηση της αναπαραγωγής της εργασιακής δύναμης και του κεφαλαίου στις εξαρτημένες χώρες σε σχέση με τις ιμπεριαλιστικές).
Συμπεραίνουμε ότι εργασιακές δυνάμεις του παγκόσμιου Νότου που καταναλώνουν λιγότερες και χειρότερης ποιότητας αξίες χρήσης (παρηγμένες κατά κανόνα από τον εγχώριο τομέα αγαθών που δεν προορίζονται για τη διεθνή αγορά), εκτελούν εργασία παρόμοιας συνθετότητας, κατά κανόνα με μεγαλύτερη ένταση και στο πλαίσιο μιας μεγαλύτερης εργάσιμης ημέρας, για να παράγουν εμπορεύματα που κυκλοφορούν στη διεθνή αγορά με μια σχετικά ενιαία τιμή αγοράς και με παρόμοια παραγωγικότητα (χωρίς, όμως, αυτό το τελευταίο να έχει καμία ιδιαίτερη σημασία!). Αυτή είναι η ουσία της άνισης ανταλλαγής και της ιμπεριαλιστικής εκμετάλλευσης στον σύγχρονο καπιταλισμό της ιμπεριαλιστικής διεθνοποίησης της παραγωγής…
Στη συνέχεια, ο μονοπωλιακός ανταγωνισμός, και η ιμπεριαλιστική ισχύς αναλαμβάνουν τα της διανομής της επιπλέον αυτής υπεραξίας, τη μετατροπή της σε μονοπωλιακό υπερκέρδος και ιμπεριαλιστική πρόσοδο, προκειμένου το διεθνές αυτό σύστημα ιμπεριαλιστικής εκμετάλλευσης να αναπαράγεται στο διηνεκές, στη βάση ακριβώς της διαφοροποίησης των όρων αναπαραγωγής του κεφαλαίου (εργασιακή δύναμη και φυσικό περιβάλλον) στις διαφορετικές χώρες, ανάλογα με τη θέση τους στον διεθνή καταμερισμό εργασίας…
Τέλος, όσον αφορά τη χρηματική αποτίμηση της άνισης ανταλλαγής, προκύπτει το ερώτημα του αν πρέπει να γίνει με βάση τους μισθούς των ανεπτυγμένων χωρών ή αυτούς των αναπτυσσόμενων ή με βάση κάποιον μέσο όρο της διεθνούς αξίας της εργασιακής δύναμης. Οι συγγραφείς του άρθρου ακολουθούν τον Σαμίρ Αμίν στην πρώτη επιλογή, η οποία και δίνει ένα μέτρο της συνολική δαπάνης σε μισθούς που θα απαιτούνταν στις ανεπτυγμένες χώρες για να παραχθεί εγχωρίως το προϊόν που σήμερα καταναλώνεται μετά από την εισαγωγή του από τις αναπτυσσόμενες χώρες.
Εδώ θα υποστηρίξουμε μία από τις άλλες δύο επιλογές. Είτε θα πρέπει για κάθε τύπο εργασίας να λάβουμε την εργασιακή δύναμη της κατώτερης αξίας που δύναται να την επιτελέσει με την ίδια περίπου ποιότητα, ως το μέτρο της αξίας της εργασιακής δύναμης αυτού του τύπου, έτσι ώστε κάθε αποτίμησή της πάνω από αυτό το ελάχιστο να θεωρήσουμε ότι αποτελεί κάποιου είδους πληθωρισμένη τιμή της εργασιακής δύναμης, ενδεικτική και ενός μειωμένου βαθμού εκμετάλλευσης, είτε να υπολογιστεί μια μέση διεθνής αξία για την εργασιακή δύναμη του κάθε τύπου, και, κατόπιν, οι εθνικές αξίες να λάβουν μια θέση ανώτερη ή κατώτερη αυτής, ενδεικτική και πάλι της μειωμένης εκμετάλλευσης ή της υπερεκμετάλλευσης της εργασιακής δύναμης σε κάθε χώρα.
Σημειώνουμε ότι αν υπάρχει ένα μέγεθος στο οποίο πραγματικά να κυριαρχούν τάσεις εξίσωσης στη διεθνή αγορά, αυτό είναι οι τιμές αγοράς των διεθνών εμπορεύσιμων προϊόντων, ακριβώς διότι κανείς δεν αγοράζει ένα εμπόρευμα σε ακριβότερη τιμή από ότι θα μπορούσε, αν δεν είναι απολύτως αναγκασμένος για κάτι τέτοιο. Με αυτήν την έννοια, πρέπει να δοθεί η πρέπουσα σημασία στο εμπόρευμα «εργασιακή δύναμη» ως ένα «εμπορεύσιμο αγαθό» στη διεθνή αγορά, καθώς η δυνατότητα του ιμπεριαλιστικού, μονοπωλιακού κεφαλαίου να αξιοποιεί τις εθνικές διαφορές στην αξία και τιμή του, θέτοντας σε ανταγωνισμό την εργατική τάξη της μιας χώρας έναντι της άλλης, αναδεικνύει την ουσία του καπιταλιστικού ιμπεριαλισμού: την ολοένα και αυξανόμενη εκμετάλλευση της εργασίας (υπερεκμετάλλευση) ως αντισταθμιστικό παράγοντα στην πτωτική τάση του ποσοστού κέρδους και την κρίση στην παραγωγή σχετικής υπεραξίας που αυτή επιφέρει.
Διονύσης Περδίκης
Διαβάστε το άρθρο σε μορφή pdf συμπεριλαμβανομένων των παραγράφων της Μεθοδολογίας που περιέχουν εξισώσεις.
2026-03_ΔιονΠερδ_ΔημΓκότσης_Hickel_et_al_2024
Περίληψη
Ερευνητές υποστηρίζουν ότι οι πλούσιες χώρες βασίζονται σε μια μεγάλη καθαρή οικειοποίηση εργατικού δυναμικού και πόρων από τον υπόλοιπο κόσμο μέσω άνισης ανταλλαγής στο διεθνές εμπόριο και τις παγκόσμιες αλυσίδες εμπορευμάτων. Εδώ αξιολογούμε αυτό το φαινόμενο εμπειρικά, μετρώντας τις ροές ενσωματωμένης εργασίας στην παγκόσμια οικονομία από το 1995 έως το 2021, λαμβάνοντας υπόψη τα επίπεδα δεξιοτήτων, τους τομείς, και τους μισθούς. Διαπιστώνουμε ότι το 2021 οι οικονομίες του παγκόσμιου Βορρά οικειοποιήθηκαν καθαρά 826 δισεκατομμύρια ώρες ενσωματωμένης εργασίας από τον παγκόσμιο Νότο, σε όλα τα επίπεδα δεξιοτήτων και όλους τους τομείς. Η αξία των μισθών αυτής της καθαρά οικειοποιημένης εργασίας ήταν ισοδύναμη με 16,9 τρισεκατομμύρια ευρώ σε τιμές του Βορρά, λαμβάνοντας υπόψη το επίπεδο δεξιοτήτων. Αυτή η οικειοποίηση διπλασιάζει περίπου την εργασία που είναι διαθέσιμη για κατανάλωση στον Βορρά, αλλά στερεί τον Νότο από παραγωγική ικανότητα που θα μπορούσε να χρησιμοποιηθεί για τις τοπικές ανθρώπινες ανάγκες και την ανάπτυξη. Η άνιση ανταλλαγή θεωρείται ότι οφείλεται εν μέρει στις συστηματικές μισθολογικές ανισότητες. Διαπιστώνουμε ότι οι μισθοί στον Νότο είναι 87-95% χαμηλότεροι από τους μισθούς στον Βορρά για εργασία ίσου επιπέδου δεξιοτήτων. Ενώ οι εργαζόμενοι στον Νότο συνεισφέρουν το 90% της εργασίας που τροφοδοτεί την παγκόσμια οικονομία, λαμβάνουν μόνο το 21% του παγκόσμιου εισοδήματος.
Εισαγωγή
Οι μελετητές της διεθνούς πολιτικής οικονομίας υποστηρίζουν ότι η ανάπτυξη και η συσσώρευση κεφαλαίου στα πλούσια κράτη του «κέντρου», του παγκόσμιου Βορρά, βασίζονται στην οικειοποίηση αξίας —εργασίας, πόρων και αγαθών— από τις «περιφέρειες» και τις «ημιπεριφέρειες» του παγκόσμιου Νότου [1–8]. Στη σύγχρονη παγκόσμια οικονομία, αυτή η οικειοποίηση συμβαίνει σε μεγάλο βαθμό μέσω αυτού που οι μελετητές έχουν ορίσει ως «άνιση ανταλλαγή» στο διεθνές εμπόριο [9–12]. Η βιβλιογραφία σε αυτόν τον τομέα έχει περιγράψει τον τρόπο με τον οποίο τα κράτη και οι εταιρείες του κέντρου αξιοποιούν τη γεωπολιτική και εμπορική τους δύναμη για να συμπιέσουν τους μισθούς, τις τιμές και τα κέρδη στον παγκόσμιο Νότο, τόσο σε επίπεδο εθνικών οικονομιών όσο και στο πλαίσιο των παγκόσμιων αλυσίδων εμπορευμάτων (οι οποίες αντιπροσωπεύουν περισσότερο από το 70% του εμπορίου), με αποτέλεσμα οι τιμές στον Νότο να είναι συστηματικά χαμηλότερες σε σχέση με τις τιμές στον Βορρά [13,14]. Οι ανισότητες στις τιμές αναγκάζουν τις χώρες του Νότου και τους παραγωγούς να εξάγουν κάθε χρόνο περισσότερη εργασία και πόρους που ενσωματώνονται στα εμπορεύματα προς τον Βορρά, προκειμένου να πληρώσουν για οποιοδήποτε επίπεδο εισαγωγών, επιτρέποντας στις οικονομίες του Βορρά να αποκομίσουν καθαρή αξία προς όφελος του κεφαλαίου και των καταναλωτών του Βορρά.
Η δυναμική των άνισων ανταλλαγών θεωρείται ότι εντάθηκε στις δεκαετίες του 1980 και του 1990 με την επιβολή προγραμμάτων διαρθρωτικής προσαρμογής [Σ.τ.Μ., Structural Adjustments Programs, SAP] σε ολόκληρο τον Νότιο Ημισφαίριο [15]. Τα SAP υποτίμησαν τα νομίσματα του Νότου, μείωσαν τη δημόσια απασχόληση και κατήργησαν τις προστασίες της εργασίας και του περιβάλλοντος, ασκώντας πτωτική πίεση στους μισθούς και τις τιμές. Επίσης, περιόρισαν τη βιομηχανική πολιτική και τις κρατικές επενδύσεις στην τεχνολογική ανάπτυξη και ανάγκασαν τις κυβερνήσεις του Νότου να δώσουν προτεραιότητα στην παραγωγή την προσανατολισμένη στις εξαγωγές [Σ.τ.Μ., «export oriented»] σε ιδιαίτερα ανταγωνιστικούς τομείς και σε υποδεέστερες θέσεις εντός των παγκόσμιων αλυσίδων εμπορευμάτων [1,16–18]. Ταυτόχρονα, οι κορυφαίες εταιρείες των κρατών του κέντρου έχουν μεταφέρει τη βιομηχανική παραγωγή στον παγκόσμιο Νότο, προκειμένου να επωφεληθούν άμεσα από τους φθηνότερους μισθούς και το χαμηλότερο κόστος παραγωγής, αξιοποιώντας παράλληλα την κυριαρχία τους στις παγκόσμιες αλυσίδες εμπορευμάτων για να συμπιέσουν τους μισθούς και τα κέρδη των παραγωγών του Νότου [13,14,19]. Αυτές οι παρεμβάσεις έχουν αυξήσει περαιτέρω τη σχετική αγοραστική δύναμη του Βορρά σε σχέση με την εργασία και τα αγαθά του Νότου [15].
Αρκετές μελέτες έχουν επιχειρήσει να ποσοτικοποιήσουν έμμεσα την κλίμακα της οικειοποίησης μέσω άνισης ανταλλαγής, προσαρμόζοντας τους χρηματικούς όγκους συναλλαγών ως προς τις ανισότητες μεταξύ Βορρά και Νότου όσον αφορά τους μισθούς [9,20] ή τις γενικές τιμές [15,21]. Πιο πρόσφατες έρευνες έχουν χρησιμοποιήσει διευρυμένα περιβαλλοντικά πολυπεριφερειακά μοντέλα εισροών-εκροών [Σ.τ.Μ., environmentally extended multi-regional input-output, EEMRIO], τα οποία μας επιτρέπουν να παρακολουθούμε τις ροές των πόρων που ενσωματώνονται στην τελική κατανάλωση κάθε χώρας. Αυτές οι μελέτες αποδεικνύουν εμπειρικά ότι οι οικονομίες του κέντρου βασίζονται σε μια φυσική καθαρή οικειοποίηση ενσωματωμένης εργασίας και πόρων από τον παγκόσμιο Νότο [22–24]. Ωστόσο, η έρευνα αυτή δεν έχει μέχρι στιγμής αναλύσει άμεσα τη δυναμική των τιμών που συνδέεται με τον χρόνο εργασίας που ενσωματώνεται στο εμπόριο Βορρά-Νότου. Επίσης, δεν μπόρεσε να απαντήσει σε ερωτήματα σχετικά με το βαθμό στον οποίο οι μισθολογικές ανισότητες Βορρά-Νότου και η άνιση ανταλλαγή μπορεί να είναι αποτέλεσμα διαφορών στον τύπο της εργασίας που εκτελείται, όπως σε όρους επιπέδου δεξιοτήτων ή τομέα (για παράδειγμα, εάν οι μισθολογικές ανισότητες προκύπτουν επειδή ο Νότος ανταλλάσσει χαμηλής ειδίκευσης εργασία με υψηλής ειδίκευσης εργασία, ή πρωτογενή αγαθά με δευτερογενή αγαθά).
Σε αυτή τη μελέτη, χρησιμοποιούμε το μοντέλο EEMRIO EXIOBASE για να παρακολουθήσουμε τις ροές ενσωματωμένης εργασίας μεταξύ Βορρά και Νότου, για πρώτη φορά λαμβάνοντας άμεσα υπόψη τους τομείς, τους μισθούς και τα επίπεδα δεξιοτήτων (όπως ορίζονται από την ILO [Σ.τ.Μ., International Labour Organization, Διεθνής Οργάνωση Εργασίας], που περιγράφεται στη Μεθοδολογία). Αυτό μας επιτρέπει να καθορίσουμε την κλίμακα της οικειοποίησης εργασίας μέσω άνισης ανταλλαγής σε όρους φυσικού χρόνου εργασίας, ενώ ταυτόχρονα την αναπαριστούμε σε όρους αξίας μισθού, με τρόπο που λαμβάνει υπόψη το επίπεδο δεξιοτήτων της ενσωματωμένης εργασίας στο εμπόριο Βορρά-Νότου. Η κατηγορία μας του παγκόσμιου Βορρά προσεγγίζει τον κατάλογο του ΔΝΤ των «προηγμένων οικονομιών», με τον Νότο να περιλαμβάνει όλες τις αναδυόμενες και αναπτυσσόμενες οικονομίες (βλ. Μεθοδολογία). Όλες οι χρηματικές μονάδες είναι σε σταθερά ευρώ του 2005, διορθωμένα για τον πληθωρισμό, που εκφράζονται σε συναλλαγματικές ισοτιμίες της αγοράς [Σ.τ.Μ., Market Exchange Rates, MER], οι οποίες είναι κατάλληλες για διεθνείς συγκρίσεις της αγοραστικής δύναμης του εισοδήματος στην παγκόσμια οικονομία (βλ. Μεθοδολογία).
Καταλήγουμε σε διάφορα σημαντικά συμπεράσματα. (1) Διαπιστώνουμε ότι η εργασία στην παγκόσμια οικονομία, σε όλα τα επίπεδα δεξιοτήτων και σε όλους τους τομείς, εκτελείται κατά κύριο λόγο στον παγκόσμιο Νότο (κατά μέσο όρο 90-91%), αλλά τα οφέλη της παραγωγής καταλήγουν δυσανάλογα στον παγκόσμιο Βορρά. (2) Ο Βορράς οικειοποιήθηκε καθαρά 826 δισεκατομμύρια ώρες ενσωματωμένης εργασίας από τον παγκόσμιο Νότο το 2021 (με άλλα λόγια, καθαρά από το εμπόριο). Αυτή η καθαρή οικειοποίηση συμβαίνει σε όλες τις κατηγορίες δεξιοτήτων και τους τομείς, συμπεριλαμβανομένης μιας μεγάλης καθαρής οικειοποίησης υψηλής ειδίκευσης εργασίας. (3) Η αξία των μισθών της καθαρά οικειοποιημένης εργασίας ήταν 16,9 τρισεκατομμύρια ευρώ το 2021, εκφρασμένη σε μισθούς του Βορρά, λαμβάνοντας υπόψη το επίπεδο δεξιοτήτων. Όσον αφορά την αξία των μισθών, η διαρροή εργατικού δυναμικού από τον Νότο έχει υπερδιπλασιαστεί από το 1995. (4) Οι μισθολογικές διαφορές μεταξύ Βορρά και Νότου έχουν αυξηθεί δραματικά κατά τη διάρκεια της περιόδου, σε όλες τις κατηγορίες δεξιοτήτων και όλους τους τομείς, παρά τη μικρή βελτίωση της σχετικής θέσης του Νότου. Οι μισθοί στον Νότο είναι 87-95% χαμηλότεροι από τους μισθούς στον Βορρά για εργασία ίσου επιπέδου δεξιοτήτων το 2021, και 83-98% χαμηλότεροι για εργασία ίσου επιπέδου δεξιοτήτων στον ίδιο τομέα. (5) Το μερίδιο των εργαζομένων στο ΑΕΠ έχει γενικά μειωθεί κατά τη διάρκεια της περιόδου, κατά 1,3 ποσοστιαίες μονάδες στον παγκόσμιο Βορρά και 1,6 ποσοστιαίες μονάδες στον παγκόσμιο Νότο.
Αποτελέσματα
Συνεισφορές στην παγκόσμια παραγωγή
Διαπιστώνουμε ότι, το 2021, το τελευταίο έτος για το οποίο υπάρχουν διαθέσιμα στοιχεία, 9,6 τρισεκατομμύρια ώρες εργασίας αφιερώθηκαν στην παραγωγή για την παγκόσμια οικονομία. Από αυτές, το 90% προήλθε από τον παγκόσμιο Νότο (Εικόνα 1). Ο Νότος συνέβαλε με το μεγαλύτερο μέρος της εργασίας σε όλα τα επίπεδα δεξιοτήτων: 76% της συνολικής εργασίας υψηλής ειδίκευσης, 91% της εργασίας μέσης ειδίκευσης και 96% της εργασίας χαμηλής ειδίκευσης. Την ίδια χρονιά, 2,1 τρισεκατομμύρια ώρες εργασίας αφιερώθηκαν στην παραγωγή αγαθών που αποτελούν αντικείμενο διεθνούς εμπορίου (η χρήση του όρου «αγαθά που αποτελούν αντικείμενο εμπορίου» στην παρούσα εργασία αναφέρεται τόσο σε αγαθά όσο και σε υπηρεσίες). Η σχετική συμβολή Βορρά-Νότου στην παραγωγή εμπορευμάτων είναι παρόμοια με εκείνη της συνολικής παραγωγής, με τον Νότο να συνεισφέρει το 91% του συνόλου της εργασίας (73% του συνόλου της υψηλής ειδίκευσης, 93% της μέσης ειδίκευσης και 96% της χαμηλής ειδίκευσης). Σημειώστε ότι τα τελευταία στοιχεία είναι υποτιμημένα, δεδομένου ότι οι περισσότερες χώρες του παγκόσμιου Νότου ομαδοποιούνται σε περιοχές στην EXIOBASE (βλ. Συμπληρωματικό Πίνακα 1) και το εμπόριο εντός αυτών των περιοχών δεν εκπροσωπείται.
Εικόνα 1. Σχετικές συνεισφορές εργασίας (ώρες) στην παγκόσμια παραγωγή ανά περιοχή και επίπεδο ειδίκευσης, 1995-2021. Το μπλε χρώμα υποδηλώνει την εργασία που παρέχουν οι εργαζόμενοι στον παγκόσμιο Βορρά, ενώ το πορτοκαλί χρώμα υποδηλώνει την εργασία που παρέχουν οι εργαζόμενοι στον παγκόσμιο Νότο. Τα επίπεδα δεξιοτήτων είναι διαβαθμισμένα από ανοιχτόχρωμα (χαμηλή ειδίκευση) έως σκούρα (υψηλή ειδίκευση). Το πλαίσιο a δείχνει τις συνεισφορές στη συνολική παραγωγή όλων των αγαθών και υπηρεσιών. Το πλαίσιο b δείχνει τις συνεισφορές στην παραγωγή μόνο των εμπορεύσιμων αγαθών και υπηρεσιών.
Συμπληρωματικός Πίνακας 1. Περιφερειακές ομαδοποιήσεις.
Η συμβολή του Νότου στη συνολική παγκόσμια παραγωγή έχει αυξηθεί σταθερά από το 1995 και μετά, σε όλες τις κατηγορίες δεξιοτήτων. Η μεγαλύτερη αύξηση σημειώθηκε στην κατηγορία των υψηλών δεξιοτήτων, με τη συνεισφορά του Νότου στην παραγωγή υψηλής ειδίκευσης να αυξάνεται από το 66% του συνολικού παγκόσμιου ποσοστού το 1995 (1,9 φορές περισσότερο από τον Βορρά) στο 76% το 2021 (3,2 φορές περισσότερο από τον Βορρά). Στην πραγματικότητα, ο Νότος συνεισφέρει πλέον περισσότερη εργασία υψηλής ειδίκευσης στην παγκόσμια οικονομία (1124 δισεκατομμύρια ώρες το 2021) από ό,τι όλες οι συνεισφορές εργασίας υψηλής, μέσης και χαμηλής ειδίκευσης του παγκόσμιου Βορρά συνολικά (971 δισεκατομμύρια ώρες το 2021). Ο Νότος συνεισφέρει επίσης τη συντριπτική πλειοψηφία της εργασίας σε όλες τις συγκεντρωτικές ομάδες τομέων που αντλήσαμε από την EXIOBASE, συμπεριλαμβανομένης της γεωργίας (99%), της εξόρυξης (99%), της μεταποίησης (93%), των υπηρεσιών (80%) και «άλλων» (89%). Βλ. Μεθοδολογία για τις ομαδοποιήσεις τομέων.
Παρά το γεγονός ότι συνέβαλε κατά 90-91% στη συνολική εργασία που συμμετείχε στην παγκόσμια παραγωγή και στην παραγωγή εμπορεύσιμων αγαθών το 2021, συμπεριλαμβανομένου του μεγαλύτερου μέρους της εργασίας υψηλής ειδίκευσης, ο παγκόσμιος Νότος έλαβε λιγότερο από το ήμισυ (44%) του παγκόσμιου εισοδήματος, ενώ οι εργαζόμενοι του Νότου έλαβαν μόνο το 21% του παγκόσμιου εισοδήματος εκείνο το έτος. Με άλλα λόγια, ενώ η παγκόσμια παραγωγή πραγματοποιείται κατά κύριο λόγο στον παγκόσμιο Νότο, τα κέρδη καταλήγουν δυσανάλογα στον παγκόσμιο Βορρά, υποδηλώνοντας μια δυσανάλογη κυριαρχία επί του παγκόσμιου προϊόντος.
Ο Πίνακας 1 δείχνει ότι ο συνολικός αριθμός των απασχολούμενων εργαζομένων και ο συνολικός αριθμός των ωρών εργασίας αυξήθηκε τόσο στον Βορρά όσο και στον Νότο από το 1995 έως το 2021, με την αύξηση να είναι σημαντικά μεγαλύτερη στον παγκόσμιο Νότο. Οι τελευταίες σειρές παρουσιάζουν αρκετά ενδιαφέροντα σημεία. Πρώτον, βλέπουμε ότι οι εργαζόμενοι στον Νότο του πλανήτη αποδίδουν σταθερά περισσότερη εργασία ανά εργαζόμενο από ό,τι στον Βορρά, με μεγάλη διαφορά. Στο τελευταίο έτος των δεδομένων, οι εργαζόμενοι του Νότου εργάστηκαν κατά μέσο όρο 466 ώρες περισσότερο από τους αντίστοιχους του Βορρά (26% περισσότερο). Δεύτερον, βλέπουμε ότι στον Βορρά, ο χρόνος εργασίας ανά εργαζόμενο έχει μειωθεί κατά 7% κατά τη διάρκεια της περιόδου, ενώ στον Νότο έχει αυξηθεί κατά 1%. Στο βαθμό που η αύξηση του χρόνου εργασίας έχει συμβάλει στην παγκόσμια οικονομική ανάπτυξη τα τελευταία 25 χρόνια, αυτό το βάρος το έχουν επωμιστεί κατά κύριο λόγο οι άνθρωποι στον παγκόσμιο Νότο.
Πίνακας 1. Εργαζόμενοι, χρόνος εργασίας, και ένταση εργασίας ανά περιοχή το 1995 και το 2021.
Εικόνα 2. Εξαγωγές και εισαγωγές ενσωματωμένης εργασίας (ώρες) από τον παγκόσμιο Νότο, 1995–2021. Το σκούρο γκρι υποδηλώνει τις εξαγωγές του Νότου, το ανοιχτό γκρι υποδηλώνει τις εισαγωγές του Νότου. Το πλαίσιο a δείχνει το εμπόριο υψηλής ειδίκευσης. Το πλαίσιο b δείχνει το εμπόριο μέσης ειδίκευσης. Το πλαίσιο c δείχνει το εμπόριο χαμηλής ειδίκευσης. Το πλαίσιο d δείχνει το εμπόριο συνολικής εργασίας σε όλα τα επίπεδα ειδίκευσης (το άθροισμα των a–d).
Άνιση ανταλλαγή εργασίας
Η ανάλυσή μας επιβεβαιώνει ένα ουσιαστικό και επίμονο μοτίβο άνισης ανταλλαγής μεταξύ του Βορρά και του Νότου. Το 2021, ο Βορράς εισήγαγε 906 δισεκατομμύρια ώρες ενσωματωμένης εργασίας από τον Νότο, ενώ εξήγαγε μόνο 80 δισεκατομμύρια ώρες σε αντάλλαγμα (αναλογία 11:1). Κατά μέσο όρο κατά τη διάρκεια της περιόδου, ο Βορράς εισήγαγε 15 φορές περισσότερη εργασία από τον Νότο από ό,τι εξήγαγε σε αντάλλαγμα. Με άλλα λόγια, ο Βορράς οικειοποιείται καθαρά μεγάλες ποσότητες εργασίας από τον Νότο. Αυτή η καθαρή οικειοποίηση συμβαίνει σε όλες τις κατηγορίες δεξιοτήτων, συμπεριλαμβανομένης της υψηλής ειδίκευσης εργασίας. Κατά μέσο όρο, ο Βορράς εισάγει 4 φορές περισσότερη εργασία υψηλής ειδίκευσης από τον Νότο από ό,τι εξάγει, μαζί με 17 φορές περισσότερη εργασία μέσης ειδίκευσης και 29 φορές περισσότερη εργασία χαμηλής ειδίκευσης. H Εικόνα 2 δείχνει τις εξαγωγές και εισαγωγές εργατικού δυναμικού από τον παγκόσμιο Νότο κατά την περίοδο 1995-2021.
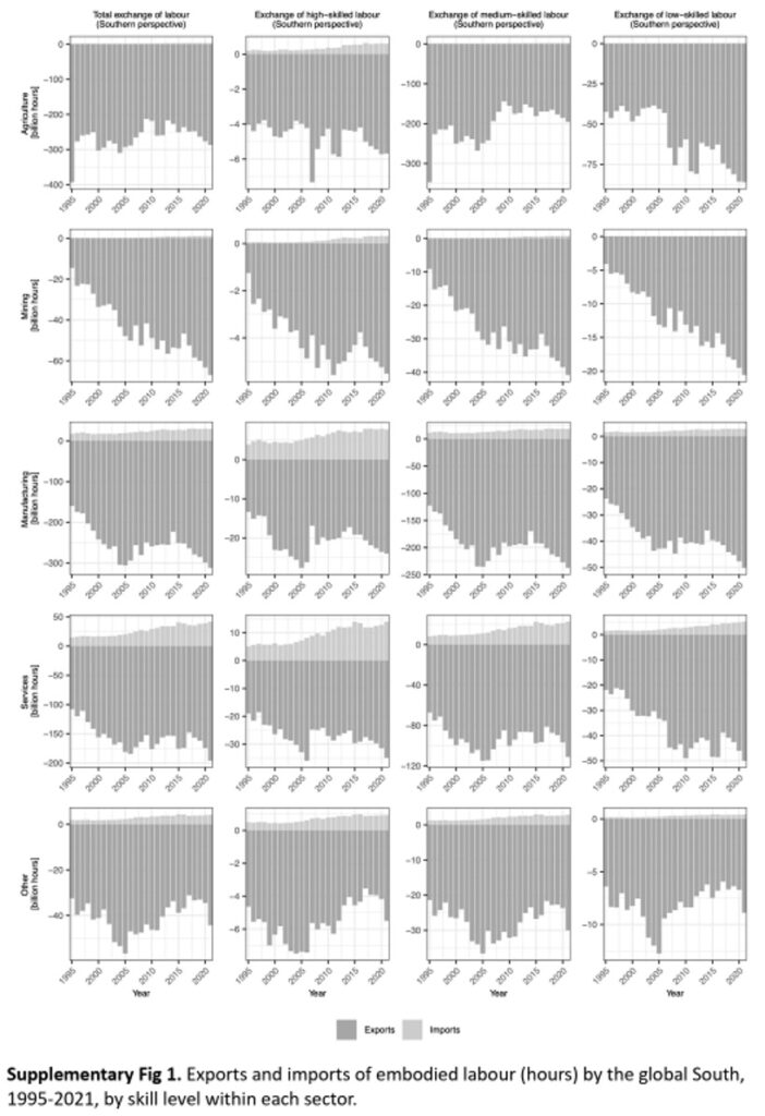
Η άνιση ανταλλαγή εργασίας που περιγράφεται παραπάνω δεν εξηγείται από τομεακές διαφορές. Διαπιστώσαμε ότι ο παγκόσμιος Βορράς εισάγει καθαρά μεγάλες ποσότητες εργασίας από τον Νότο σε όλα τα επίπεδα δεξιοτήτων και στους πέντε τομείς. Κατά μέσο όρο, ο Βορράς εισήγαγε 120 φορές περισσότερη εργασία στον τομέα της γεωργίας από ό,τι εξήγαγε, 110 φορές περισσότερο στον τομέα των ορυχείων, 11 φορές περισσότερο στον τομέα της μεταποίησης και 6 φορές περισσότερο στον τομέα των υπηρεσιών. Με άλλα λόγια, δεν ισχύει ότι ο Βορράς εισάγει καθαρά εργασία στην πρωτογενή παραγωγή από τον Νότο, ενώ εξάγει καθαρά μικρότερη ποσότητα εργασίας στη δευτερογενή και τριτογενή παραγωγή. Αντίθετα, ο Βορράς βασίζεται σε καθαρή οικειοποίηση εργασίας από τον Νότο σε όλους τους τομείς, συμπεριλαμβανομένης της μεταποίησης και των υπηρεσιών. Δεν υπάρχει τομέας στον οποίο ο Βορράς εξάγει εργασία στον Νότο. Αυτό αποδεικνύεται στη Συμπληρωματική Εικόνα 1.
Συμπληρωματική Εικόνα 1. Εξαγωγές και εισαγωγές ενσωματωμένης εργασίας (ώρες) από τον παγκόσμιο Νότο 1995-2021, ανά επίπεδο ειδίκευσης και εντός του κάθε τομέα.
Τα αποτελέσματα της χρονολογικής σειράς δείχνουν ότι η θέση του παγκόσμιου Νότου επιδεινώθηκε κατά την περίοδο 1995-2005, με την αναλογία ανταλλαγών Νότου-Βορρά να αυξάνεται από 17:1 το 1995-97 σε 21:1 το 2003-2005. Κατά τη διάρκεια αυτής της περιόδου, η οποία χαρακτηρίστηκε από αυστηρές πολιτικές διαρθρωτικής προσαρμογής που εφαρμόστηκαν κατά τη διάρκεια της δεκαετίας του ’80 και του ’90, οι οικονομίες του Νότου αναγκάστηκαν να αυξήσουν τις εξαγωγές ενσωματωμένης εργασίας κατά 24% απλώς και μόνο για να διατηρήσουν την ίδια ποσότητα εισαγωγών από τον Βορρά. Η θέση του Νότου βελτιώθηκε κατά την επόμενη δεκαετία (2005-2015), καθώς οι πιο επιθετικές πολιτικές προσαρμογής χαλάρωσαν και η άνοδος των τιμών των βασικών εμπορευμάτων ξεκίνησε, με την αναλογία ανταλλαγής να μειώνεται σε 10:1. Η βελτίωση αυτή οφείλεται κυρίως στη βελτίωση της θέσης της Κίνας. Ωστόσο, οι βελτιώσεις έχουν σταματήσει από το 2015 και έχει σημειωθεί κάποια οπισθοδρόμηση.
Η Εικόνα 3 και η Εικόνα 4 δείχνουν τη συνολική ποσότητα εργασίας που απορροφά ο Βορράς κατά τη διάρκεια της περιόδου, ανά επίπεδο δεξιοτήτων και τομέα, αντίστοιχα. Ο Βορράς απορροφά καθαρά εργασία σε όλα τα επίπεδα δεξιοτήτων και όλους τους τομείς. Αξίζει να σημειωθεί ότι η απορρόφηση στον δευτερογενή και τριτογενή τομέα (μεταποίηση και υπηρεσίες) είναι πλέον μεγαλύτερη από ό,τι στον πρωτογενή τομέα (γεωργία και εξόρυξη), και μάλιστα αυτό ίσχυε για το μεγαλύτερο μέρος της περιόδου που καλύπτεται.
Εικόνα 3. Καθαρή οικειοποίηση εργασίας (ώρες) από τον παγκόσμιο Νότο προς τον Βορρά ανά επίπεδο ειδίκευσης, 1995-2021. Τα επίπεδα ειδίκευσης αποτυπώνονται με χρώματα από ανοιχτό (χαμηλή ειδίκευση) προς σκούρο (υψηλή ειδίκευση). Τα στοιχεία αυτά αντιστοιχούν στο καθαρό αποτέλεσμα των εισαγωγών και εξαγωγών που απεικονίζεται στην Εικόνα 2.
Η συνολική καθαρό οικειοποίηση αυξήθηκε από το 1995 έως το 2005, όταν και έφτασε στο αποκορύφωμά της, προτού μειωθεί κατά τη δεκαετία 2005-2015. Διαπιστώνουμε ότι η μείωση κατά την περίοδο 2005-2015 αντιστοιχεί σε βελτίωση των μισθών του Νότου σε σχέση με τους μισθούς του Βορρά. Ωστόσο, η βελτίωση αυτή σταμάτησε το 2015 και οι μισθολογικές αναλογίες σταθεροποιήθηκαν (βλ. ενότητα με τίτλο «Μισθολογικές τάσεις» παρακάτω). Η οικειοποίηση αυξήθηκε τα επόμενα χρόνια, υποστηριζόμενη από την αύξηση του όγκου του εμπορίου. Το 2021, η συνολική ποσότητα καθαρής οικειοποίησης έφτασε τα 826 δισεκατομμύρια ώρες. Αυτά τα στοιχεία είναι σημαντικά μεγαλύτερα από αυτά που έχουν διαπιστώσει προηγούμενες μελέτες (βλ. ΣΣ 3. Σύγκριση με προηγούμενη εργασία για λεπτομέρειες) [25]. Οι καθαρές ροές από την Κίνα προς τον Βορρά αντιπροσωπεύουν περίπου το ένα έκτο των συνολικών καθαρών ροών Νότου-Βορρά. Αξίζει να σημειωθεί εδώ ότι η καθαρή ροή Νότου-Βορρά ενσωματωμένης εργασίας δεν «αντισταθμίζεται» από μια αντίθετη καθαρή ροή ενσωματωμένης γης, ενέργειας ή υλικών (αντίθετα, μεγάλες καθαρές ροές Νότου-Βορρά παρατηρούνται σε όλες τις κατηγορίες εισροών).
Εικόνα 4. Καθαρή οικειοποίηση εργασίας (ώρες) από τον παγκόσμιο Νότο προς τον Βορρά, ανά τομέα, 1995-2021. Το διάγραμμα δείχνει την καθαρή οικειοποίηση εργασίας στους τομείς της γεωργίας, της εξόρυξης, της μεταποίησης, των υπηρεσιών και «άλλων» (όπως ορίζονται στη Μεθοδολογία).
Διαπιστώνουμε ότι αυτό το μοτίβο καθαρής οικειοποίησης διαδραματίζει σημαντικό ρόλο στην κατανάλωση του Βορρά (Εικόνα 5). Σε οποιοδήποτε δεδομένο έτος, ο Βορράς καταναλώνει περίπου διπλάσια εργασία από ό,τι παράγει, χάρη στην οικειοποίηση μέσω άνισης ανταλλαγής. Το 2021, η καθαρή οικειοποίηση εργασίας αντιπροσώπευε το 46% της συνολικής κατανάλωσης εργασίας του Βορρά. Η Εικόνα 5 δείχνει επίσης ότι οι οικονομίες του παγκόσμιου Βορρά έχουν γίνει όλο και πιο εξαρτημένες από χαμηλής ειδίκευσης εργασία, τη συντριπτική πλειονότητα της οποίας οικειοποιούνται καθαρά από τον παγκόσμιο Νότο (71% το 2021).
Εικόνα 5. Καθαρή οικειοποίηση εργασίας (ώρες) του Νότου ως ποσοστό της κατανάλωσης εργασίας από τον Βορρά. Οι σκούρες γκρι ράβδοι αντιπροσωπεύουν την καθαρή απορρόφηση εργασίας από τον παγκόσμιο Νότο (αντιστοιχεί στα στοιχεία που παρουσιάζονται στην Εικόνα 3). Οι ανοιχτού γκρι ράβδοι αντιπροσωπεύουν την εργασία που καταναλώνεται στον Βορρά από όλες τις άλλες πηγές: από το εγχώριο εργατικό δυναμικό, από το εμπόριο Βορρά-Βορρά και από την ισότιμη ανταλλαγή με τον Νότο. Το πλαίσιο a δείχνει την κατανάλωση υψηλής ειδίκευσης εργασίας στον Βορρά. Το πλαίσιο b δείχνει την κατανάλωση μέσης ειδίκευσης εργασίας στον Βορρά. Το πλαίσιο c δείχνει την κατανάλωση χαμηλής ειδίκευσης εργασίας στον Βορρά. Το πλαίσιο d δείχνει την κατανάλωση όλης της εργασίας στον Βορρά (το άθροισμα των a–d).
Ενώ η πλειοψηφία της καθαρής οικειοποίησης του Νότου από τον Βορρά αποτελείται από μεσαίου επιπέδου ειδικευμένη εργασία, η καθαρή ιδιοποίηση υψηλής ειδικευμένης εργασίας αποτελεί ωστόσο ένα σημαντικό χαρακτηριστικό των οικονομιών του Βορρά. Διαπιστώνουμε ότι οι οικονομίες του Βορρά απορροφούν καθαρά περισσότερη υψηλής ειδίκευσης εργασία από τον Νότο (52 δισεκατομμύρια ώρες το 2021) από ό,τι αποκτούν και καταναλώνουν μέσω του εμπορίου Βορρά-Βορρά (31 δισεκατομμύρια ώρες το 2021).
Η αξία του μισθού της οικειοποίησης μέσω άνισης ανταλλαγής
Όπως έχουν επισημάνει προηγούμενες μελέτες [15,21], επειδή οι μισθοί και οι τιμές είναι αποτέλεσμα της διαπραγματευτικής δύναμης στην παγκόσμια οικονομία (καθώς και του επιπέδου εμπορευματοποίησης, του βαθμού συγκέντρωσης μονοπωλίων κ.λπ.) καθώς και της δυναμικής της προσφοράς και της ζήτησης, δεν είναι δυνατόν να αποδοθεί μια «πραγματική» χρηματική αξία στην εργασία. Το μόνο που μπορούμε να κάνουμε είναι να εκφράσουμε την εργασία με βάση τους επικρατούντες μισθούς που λαμβάνουν οι διάφοροι παράγοντες στην υφιστάμενη καπιταλιστική παγκόσμια οικονομία, καθαρά ως σημείο αναφοράς. Προηγούμενες μελέτες για την άνιση ανταλλαγή, μεταξύ των οποίων και αυτή του Σαμίρ Αμίν [9], υποστηρίζουν ότι η καθαρή οικειοποίηση της κρυφής εργασίας από τον παγκόσμιο Νότο θα πρέπει να εκφράζεται με βάση τους επικρατούντες μισθούς του Βορρά, με άλλα λόγια, από την οπτική γωνία των εργαζομένων και των παραγωγών του Βορρά [21]. Αυτή είναι η προσέγγιση που υιοθετούμε εδώ.
Πρώτον, καθορίσαμε την κλίμακα του καθαρού χρόνου εργασίας που διατίθεται σε κάθε επίπεδο δεξιοτήτων για κάθε έτος. Στη συνέχεια, πολλαπλασιάσαμε τον καθαρό χρόνο εργασίας που διατίθεται με τους μισθούς που λαμβάνουν οι εργαζόμενοι του Βορρά για την εργασία του ίδιου επιπέδου δεξιοτήτων, που παρέχεται στην παραγωγή εμπορεύσιμων αγαθών (αγνοώντας τα αγαθά που παράγονται για τελική εγχώρια κατανάλωση). Η εργασία συγκρίνεται επομένως σε ισότιμη βάση: για παράδειγμα, η αποσπασθείσα ποσότητα εργασίας χαμηλής ειδίκευσης αποτιμάται με βάση τον μισθό του Βορρά για εργασία χαμηλής ειδίκευσης, η αποσπασθείσα ποσότητα εργασίας υψηλής ειδίκευσης αποτιμάται με βάση τον μισθό του Βορρά για εργασία υψηλής ειδίκευσης κ.ο.κ. Με αυτόν τον τρόπο, υπολογίσαμε την αξία του μισθού της κατακτηθείσας εργασίας με τρόπο που απαντά σε μακροχρόνια ερωτήματα σχετικά με το βαθμό στον οποίο αυτή επηρεάζεται από τη σύνθεση του επιπέδου δεξιοτήτων της ανταλλαγής.
Εικόνα 6. Η αξία των μισθών της εργασίας που αποσπάται καθαρά από τον παγκόσμιο Νότο σε τρισεκατομμύρια ευρώ (σταθερά του 2005) ανά επίπεδο ειδίκευσης, 1995-2021. Τα επίπεδα δεξιοτήτων είναι διαβαθμισμένα από ανοιχτόχρωμο (χαμηλά επίπεδα) έως σκούρο (υψηλά επίπεδα) πράσινο. Η εργασία εδώ εκφράζεται σε όρους μισθών του Βορρά για εργασία συγκεκριμένου επιπέδου ειδίκευσης που παρέχεται στην παραγωγή εμπορεύσιμων αγαθών.
Τα αποτελέσματά μας δείχνουν ότι το 2021 η αξία των μισθών της εργασίας του Νότου που οικειοποιήθηκε καθαρά ανήλθε σε 16,9 τρισεκατομμύρια ευρώ, σε σταθερές τιμές του 2005 (Εικόνα 6). Με άλλα λόγια, εάν οι εργαζόμενοι του Βορρά έπρεπε να εκτελέσουν την καθαρή οικειοποιημένη ποσότητα εργασίας στο εσωτερικό της χώρας, αυτό θα κόστιζε 16,9 τρισεκατομμύρια ευρώ σε μισθούς (βλ. ΣΣ 1. Αναπαράσταση της χρηματικής αξίας των μεταφορών από τον Νότο προς τον Βορρά για περαιτέρω ερμηνεία). Η χρονοσειρά δείχνει ότι η αξία των μισθών της οικειοποίησης έχει υπερδιπλασιαστεί από το 1995. Μεγάλες αυξήσεις σημειώθηκαν στα τέλη της δεκαετίας του 1990, συνεχίζοντας την ανοδική πορεία που ξεκίνησε κατά την περίοδο της νεοφιλελεύθερης διαρθρωτικής προσαρμογής στη δεκαετία του 1980 (βλ. στοιχεία που παρουσιάζονται σε προηγούμενη εργασία [15]). Η οικειοποίηση σταθεροποιήθηκε από τις αρχές της δεκαετίας του 2000 έως το 2015 και, έκτοτε, έχει αυξηθεί περαιτέρω. Κατά την περίοδο 1995-2021, η συνολική αξία των μισθών της καθαρής οικειοποιημένης εργασίας ανέρχεται σε 310 τρισεκατομμύρια ευρώ.
Για λόγους αξιοπιστίας, υπολογίσαμε επίσης την αξία των μισθών της καθαρά οικειοποιημένης εργασίας χρησιμοποιώντας τους μισθούς του Βορρά για κάθε επίπεδο δεξιοτήτων στον σχετικό τομέα (με άλλα λόγια, εκτιμήσαμε την καθαρά οικειοποιημένη ποσότητα εργασίας υψηλής ειδίκευσης στον τομέα των υπηρεσιών με βάση τον μισθό του Βορρά για εργασία υψηλής ειδίκευσης στον τομέα των υπηρεσιών κ.λπ.). Τα αποτελέσματα είναι μόνο ελαφρώς χαμηλότερα, 14,2 τρισεκατομμύρια ευρώ το 2021. Το μειονέκτημα αυτής της προσέγγισης είναι ότι θεωρεί δεδομένες τις μεγάλες μισθολογικές ανισότητες μεταξύ των τομέων εντός του Βορρά, ακόμη και όταν διορθώνονται ανάλογα με τις δεξιότητες, οι οποίες οφείλονται σε μεγάλο βαθμό στους εξαιρετικά χαμηλούς μισθούς στον αγροτικό τομέα (μόλις 2-3 ευρώ την ώρα, βλ. Συμπληρωματική Εικόνα 2). Ωστόσο, είναι χρήσιμο να αποδειχθεί ότι η μεγάλη κλίμακα της αξίας των μισθών της καθαρά οικειοποιημένης εργασίας δεν μπορεί να εξηγηθεί από τις τομεακές διαφορές.
Συμπληρωματική Εικόνα 2. Μισθολογικές τάσεις στον παγκόσμιο Βορρά και Νότο ανά επίπεδο δεξιοτήτων και τομέα, ευρώ ανά ώρα (σταθερά του 2005), 1995-2021.
Μισθολογικές τάσεις
Διαπιστώνουμε ότι το μισθολογικό χάσμα μεταξύ Βορρά και Νότου είναι μεγάλο και έχει αυξηθεί με την πάροδο του χρόνου για όλες τις κατηγορίες δεξιοτήτων (Εικόνα 7). Και πάλι, αξιολογούμε μόνο την εργασία που εμπλέκεται στην παραγωγή εμπορεύσιμων αγαθών. Οι μισθοί στο Νότο είναι 87-95% χαμηλότεροι από τους μισθούς στο Βορρά για το ίδιο επίπεδο δεξιοτήτων, δηλαδή για ίση εργασία, όπως ορίζεται από την ILO. Οι μισθοί στον Νότο είναι 87% χαμηλότεροι για την εργασία υψηλής ειδίκευσης, 93% χαμηλότεροι για την εργασία μέσης ειδίκευσης και 95% χαμηλότεροι για την εργασία χαμηλής ειδίκευσης. Η διαφορά είναι τόσο μεγάλη που η εργασία υψηλής ειδίκευσης στον παγκόσμιο Νότο αμείβεται κατά 68% λιγότερο από την εργασία χαμηλής ειδίκευσης στον παγκόσμιο Βορρά. Με άλλα λόγια, για κάθε ώρα εργασίας σε ένα δεδομένο επίπεδο δεξιοτήτων, οι εργαζόμενοι του Βορρά μπορούν να καταναλώνουν 8-19 φορές περισσότερο από το παγκόσμιο προϊόν σε σχέση με τους εργαζόμενους του Νότου (8 φορές περισσότερο για την εργασία υψηλής ειδίκευσης, 14 φορές περισσότερο για την εργασία μέσης ειδίκευσης και 19 φορές περισσότερο για την εργασία χαμηλής ειδίκευσης).
Εικόνα 7. Τάσεις μισθών στον παγκόσμιο Βορρά και Νότο ανά επίπεδο ειδίκευσης, ευρώ ανά ώρα (σταθερά του 2005), 1995-2021. Το πλαίσιο α δείχνει τους μέσους μισθούς όλων των εργαζομένων, σε όλα τα επίπεδα δεξιοτήτων. Το πλαίσιο β δείχνει τους μισθούς της υψηλής ειδίκευσης. Το πλαίσιο γ δείχνει τους μισθούς της μέσης ειδίκευσης. Το πλαίσιο δ δείχνει τους μισθούς της χαμηλής ειδίκευσης.
Οι αυξήσεις των μισθών στο Νότο δεν έχουν φτάσει τις αυξήσεις των μισθών στο Βορρά σε απόλυτους όρους. Ο μέσος μισθός στο Νότο έχει αυξηθεί από 0,46 € σε 1,62 € ανά ώρα (αύξηση 1,16 €), ενώ ο μέσος μισθός στο Βορρά έχει αυξηθεί από 12,60 € σε 24,95 € ανά ώρα (αύξηση 12,35 €). Οι μισθοί στο Βορρά έχουν αυξηθεί 11 φορές περισσότερο από τους μισθούς στο Νότο. Δεν παρατηρείται καμία «αναπλήρωση της διαφοράς»· αντίθετα, πρόκειται για ένα μοτίβο δραματικής απόκλισης.
Αυτά τα αποτελέσματα δείχνουν ότι οι εργαζόμενοι στον παγκόσμιο Νότο, οι οποίοι λαμβάνουν κατά μέσο όρο 1,62 ευρώ ανά ώρα, εκτελούν το μεγαλύτερο μέρος (90%) της εργασίας που παράγει για την παγκόσμια οικονομία, το μεγαλύτερο μέρος (91%) της εργασίας που παράγει εμπορεύσιμα αγαθά και σχεδόν το ήμισυ (46%) της εργασίας που υποστηρίζει την ανάπτυξη και την κατανάλωση στον παγκόσμιο Βορρά (καθαρά από το εμπόριο). Η παγκόσμια οικονομία χαρακτηρίζεται κατά κύριο λόγο από ένα καθεστώς φθηνής εργασίας.
Αυτές οι μισθολογικές διαφορές δεν εξηγούνται από τομεακές διαφορές. Τα αποτελέσματά μας δείχνουν μεγάλες και αυξανόμενες μισθολογικές διαφορές Βορρά-Νότου για όλα τα επίπεδα δεξιοτήτων σε όλους τους τομείς που αναλύσαμε. Στον τομέα της γεωργίας, οι μισθός στον Νότο είναι 85-91% χαμηλότερος από τους μισθούς στον Βορρά για οποιοδήποτε επίπεδο δεξιοτήτων. Στον τομέα των ορυχείων, οι μισθοί στον Νότο είναι 93-98% χαμηλότεροι. Στον τομέα της μεταποίησης, 89-94% χαμηλότεροι. Στον τομέα των υπηρεσιών, 83-90% χαμηλότεροι (βλ. Συμπληρωματική Εικόνα 2 για πλήρη αποτελέσματα).
Εικόνα 8. Μισθοί στο Νότο ως ποσοστό των μισθών στο Βορρά, ανά επίπεδο ειδίκευσης, ευρώ ανά ώρα (σταθερά του 2005), 1995-2021. Το διάγραμμα δείχνει τους μισθούς στο Νότο για εργατικό δυναμικό υψηλής ειδίκευσης (μπλε διακεκομμένη γραμμή), εργατικό δυναμικό μέσης ειδίκευσης (πορτοκαλί διακεκομμένη γραμμή), εργατικό δυναμικό χαμηλής ειδίκευσης (πράσινη διακεκομμένη γραμμή) και τον μέσο μισθό στο Νότο (κόκκινη συνεχής γραμμή).
Παρά τις αυξανόμενες μισθολογικές διαφορές, έχει σημειωθεί κάποια μείωση της σχετικής ανισότητας μεταξύ Βορρά και Νότου. Το 2021, ο μέσος μισθός στον Νότο ήταν 94% χαμηλότερος από τον μέσο μισθό στον Βορρά, μια μικρή βελτίωση από το 96% το 1995 (Εικόνα 8). Η βελτίωση της θέσης του Νότου σημειώθηκε κατά την περίοδο 2005-2015. Έκτοτε, η βελτίωση έχει σταματήσει και, σε κάποιο βαθμό, έχει υποχωρήσει.
Μερίδιο της εργασίας στο ΑΕΠ
Διαπιστώνουμε ότι, σε παγκόσμιο επίπεδο, η εργασία έλαβε, κατά μέσο όρο, το 51,6% του παγκόσμιου ΑΕΠ κατά την πενταετία 2017-2021. Με άλλα λόγια, μόνο το ήμισυ της συνολικής αξίας που παράγεται στην παγκόσμια οικονομία (η οποία εκφράζεται σε τιμές και περιλαμβάνεται στους λογαριασμούς του ΑΕΠ) αποσπάται από τους εργαζομένους με τη μορφή μισθών. Όπως δείχνει η Εικόνα 9, αυτό αντιπροσωπεύει μια μείωση σε σχέση με τα τέλη της δεκαετίας του 1990 (1995-1999), όταν το μερίδιο της εργασίας στο ΑΕΠ ήταν κατά μέσο όρο 54,7%. Αυτό υποδηλώνει ότι η θέση της εργασίας έναντι του κεφαλαίου έχει επιδεινωθεί κατά τη διάρκεια της περιόδου που αναλύεται.
Εικόνα 9. Μερίδιο της εργασίας στο ΑΕΠ ανά περιοχή (σταθερά ευρώ του 2005), 1995-2021. Το διάγραμμα δείχνει το μερίδιο της εργασίας στο ΑΕΠ του Βορρά (μπλε γραμμή), το μερίδιο της εργασίας στο ΑΕΠ του Νότου (πορτοκαλί γραμμή) και το μερίδιο της εργασίας στο παγκόσμιο ΑΕΠ (πράσινη γραμμή).
Το μερίδιο των εργαζομένων του Νότου στο ΑΕΠ του Νότου είναι σημαντικά χαμηλότερο από τον παγκόσμιο μέσο όρο, με μέσο όρο 47,5% κατά την περίοδο 2017-2021, ενώ το μερίδιο των εργαζομένων του Βορρά στο ΑΕΠ του Βορρά είναι υψηλότερο, με μέσο όρο 54,7% κατά την ίδια περίοδο. Αυτό δείχνει ότι οι εργατικές τάξεις του Νότου είναι πιο αδύναμες έναντι του εθνικού κεφαλαίου σε σύγκριση με τις εργατικές τάξεις του Βορρά. Και στις δύο περιπτώσεις, η θέση των εργαζομένων έχει επιδεινωθεί από τα τέλη της δεκαετίας του 1990: κατά 1,3 ποσοστιαίες μονάδες στο Νότο και 1,6 ποσοστιαίες μονάδες στο Βορρά.
Συζήτηση
Τα αποτελέσματα αυτής της μελέτης καταδεικνύουν την ύπαρξη μεγάλων καθαρών μεταφορών ενσωματωμένης εργασίας από τον παγκόσμιο Νότο προς τον παγκόσμιο Βορρά μέσω άνισης ανταλλαγής στο διεθνές εμπόριο και τις παγκόσμιες αλυσίδες εφοδιασμού, σε όλα τα επίπεδα δεξιοτήτων και όλους τους τομείς, που ανέρχονται συνολικά σε 826 δισεκατομμύρια ώρες το 2021. Αυτά τα αποτελέσματα καταδεικνύουν διάφορα σημαντικά χαρακτηριστικά της παγκόσμιας οικονομίας. Πρώτον, είναι σαφές ότι οι οικονομίες του Βορρά βασίζονται ουσιαστικά στην καθαρή οικειοποίηση από τον παγκόσμιο Νότο. Η καθαρή οικειοποιημένη εργασία αποτελεί περίπου το ήμισυ της συνολικής εργασίας που παρέχει αγαθά και υπηρεσίες για την κατανάλωση του Βορρά. Με άλλα λόγια, αυτή η δυναμική διπλασιάζει τη συνολική ποσότητα εργασίας που είναι διαθέσιμη στις οικονομίες του παγκόσμιου Βορρά, η οποία διατηρεί τα υψηλά επίπεδα κατανάλωσης και πλούτου τους και υποστηρίζει την οικονομική ανάπτυξή τους. Επιπλέον 826 δισεκατομμύρια ώρες εργασίας του Νότου προστίθενται ουσιαστικά στις οικονομίες του Βορρά ως αόρατοι «φανταστικοί εργαζόμενοι».
Δεδομένης αυτής της δυναμικής, είναι σαφές ότι το αναπτυξιακό μοντέλο του Βορρά δεν μπορεί να γενικευθεί, καθώς βασίζεται στην οικειοποίηση πόρων από αλλού. Επιπλέον, είναι απίθανο τα τρέχοντα επίπεδα συνολικής κατανάλωσης του Βορρά να μπορούν να διατηρηθούν υπό συνθήκες δίκαιου εμπορίου. Για να διατηρηθεί η τρέχουσα κατανάλωση, οι πληθυσμοί του Βορρά θα πρέπει να αυξήσουν σημαντικά τις ώρες εργασίας τους (αφιερώνοντας παράλληλα σημαντικά περισσότερη εγχώρια γη, υλικά και ενέργεια στην παραγωγή), κάτι που θα ήταν κοινωνικά και πολιτικά δύσκολο να επιτευχθεί. Είναι πιθανό ότι οι άνθρωποι θα προτιμούσαν να παραιτηθούν από ορισμένα είδη παραγωγής (για παράδειγμα, την παραγωγή αγαθών για κατανάλωση από την ελίτ) ή να στραφούν σε μορφές παροχών που απαιτούν λιγότερη εργασία (π.χ. δημόσιες μεταφορές αντί για ιδιωτικά αυτοκίνητα).
Τα αποτελέσματά μας δείχνουν επίσης ότι ο παγκόσμιος Νότος στερείται μεγάλου μέρους της παραγωγικής του ικανότητας λόγω των άνισων ανταλλαγών (9-16% της συνολικής παραγωγικής του ικανότητας, σε όρους εργασίας, χάνεται κάθε έτος). 826 δισεκατομμύρια ώρες εργασίας το 2021 ισοδυναμούν με 369 εκατομμύρια εργαζόμενους (υποθέτοντας 2236 ώρες ανά εργαζόμενο ανά έτος, που είναι ο μέσος όρος του Νότου, όπως παρουσιάζεται στον Πίνακα 1). Αυτό είναι περισσότερο από το συνολικό εργατικό δυναμικό των Ηνωμένων Πολιτειών και της Ευρωπαϊκής Ένωσης μαζί. Αυτή η ποσότητα εργασίας θα μπορούσε να κινητοποιηθεί για την παραγωγή κατοικιών και θρεπτικών τροφίμων για τις κοινότητες του παγκόσμιου Νότου, ή για την κατασκευή και τη στελέχωση νοσοκομείων και σχολείων, καλύπτοντας έτσι τις τοπικές ανθρώπινες ανάγκες και επιτυγχάνοντας τους απαραίτητους αναπτυξιακούς στόχους. αλλά αντίθετα — λόγω της συμπίεσης της εργασίας και των παραγωγών του Νότου, και λόγω των περιορισμών στην ικανότητα των κρατών του Νότου να αναπτύξουν μεγαλύτερη οικονομική κυριαρχία — αξιοποιείται για την παραγωγή εντός των παγκόσμιων αλυσίδων εφοδιασμού που εξυπηρετούν την ανάπτυξη, την κατανάλωση και τη συσσώρευση του Βορρά.
Η άνιση ανταλλαγή θεωρείται ότι οφείλεται εν μέρει στις μεγάλες μισθολογικές διαφορές μεταξύ Βορρά και Νότου. Διαπιστώνουμε ότι οι μισθοί στον Νότο είναι 87-95% χαμηλότεροι από τους μισθούς στον Βορρά για εργασία που απαιτεί τις ίδιες δεξιότητες. Η ανάλυσή μας επιβεβαιώνει τα επιχειρήματα άλλων (π.χ. Ρούι Μάουρο Μαρίνι, Σαμίρ Αμίν, Αργύρη Εμμανουήλ κ.ά.) ότι αυτές οι μισθολογικές διαφορές δεν μπορούν να εξηγηθούν από τομεακές διαφορές, καθώς επικρατούν σε όλους τους τομείς της οικονομίας: οι μισθός των εργαζομένων του Νότου είναι 83-98% χαμηλότερος για εργασία που απαιτεί τις ίδιες δεξιότητες εντός του ίδιου τομέα. Σε απόλυτους όρους, αυτές οι μισθολογικές διαφορές έχουν αυξηθεί σημαντικά με την πάροδο του χρόνου, σε όλα τα επίπεδα δεξιοτήτων και σε όλους τους τομείς, υποδηλώνοντας μια σταθερή αύξηση της απόλυτης εισοδηματικής ανισότητας μεταξύ Βορρά και Νότου, παρά τη σχετική βελτίωση της θέσης του Νότου κατά την περίοδο 2005–2015. Αυτό συνέβη παρά το γεγονός ότι υπήρξε σταθερή αύξηση της βιομηχανικής παραγωγής ως μερίδιο της συνολικής παραγωγής (και των εξαγωγών) του παγκόσμιου Νότου κατά τη διάρκεια της περιόδου που μελετήθηκε [13,14]. Καταλήγουμε στο συμπέρασμα ότι, ενώ οι εργαζόμενοι του Νότου συνεισφέρουν το μεγαλύτερο μέρος (90-91%) της εργασίας που τροφοδοτεί την παγκόσμια οικονομία, λαμβάνουν μόνο το 21% του παγκόσμιου ΑΕΠ. Τα έσοδα της παραγωγής καταλήγουν δυσανάλογα στον παγκόσμιο Βορρά.
Είναι ενδιαφέρον να σημειωθεί ότι τα αποτελέσματά μας που περιγράφουν την εξάρτηση του Βορρά από το εξειδικευμένο εργατικό δυναμικό του Νότου επιβεβαιώνουν τις δηλώσεις των διευθυντών μεγάλων εταιρειών, οι οποίοι ισχυρίζονται ότι η απαραίτητη ποσότητα εξειδικευμένου εργατικού δυναμικού μηχανικών για την υποστήριξη της παραγωγής τους δεν είναι διαθέσιμη στις κεντρικές πολιτείες και, ως εκ τούτου, η παραγωγή αυτή πρέπει να πραγματοποιείται στο εξωτερικό. Ο πρώην διευθύνων σύμβουλος της Apple, Steve Jobs, σημείωσε ότι η εταιρεία του χρειαζόταν 30.000 μηχανικούς. Όπως είπε, «Δεν μπορείς να βρεις τόσους πολλούς στην Αμερική για να τους προσλάβεις» [26]. Ο σημερινός διευθύνων σύμβουλος Tim Cook έχει σημειώσει ότι η παραγωγή της Apple βασίζεται σε μεγάλες ποσότητες υψηλής ειδίκευσης εργατικού δυναμικού στην Κίνα για προηγμένη μηχανική, εργαλεία και καινοτομία. «Στις ΗΠΑ, θα μπορούσες να οργανώσεις μια συνάντηση μηχανικών εργαλειομηχανών και δεν είμαι σίγουρος ότι θα μπορούσαμε να γεμίσουμε την αίθουσα. Στην Κίνα, θα μπορούσες να γεμίσεις πολλά γήπεδα ποδοσφαίρου» [25]. Το εξειδικευμένο εργατικό δυναμικό στον παγκόσμιο Νότο αμείβεται με ένα κλάσμα του μισθού που αμείβεται στο Βορρά, παρά το γεγονός ότι οι εταιρείες του Βορρά δεν μπορούν να λειτουργήσουν χωρίς αυτό.
Η μελέτη μας δείχνει ότι οι μισθολογικές διαφορές μεταξύ Βορρά και Νότου και η άνιση ανταλλαγή εργασίας δεν μπορούν να εξηγηθούν από το επίπεδο δεξιοτήτων ή τις τομεακές διαφορές, καθώς και οι δύο δυναμικές παραμένουν σε όλα τα επίπεδα δεξιοτήτων και σε όλους τους τομείς. Ωστόσο, ένα μέρος της άνισης ανταλλαγής μπορεί να οφείλεται σε διαφορές παραγωγικότητας (δηλαδή, εάν οι εργαζόμενοι στο Νότο παράγουν λιγότερο ανά ώρα από τους εργαζόμενους στο Βορρά). Η άνιση ανταλλαγή μερικές φορές θεωρείται ως μεταφορά καθαρών διαφορών παραγωγικότητας [9,10]. Δεν είναι εύκολο να εκτιμηθεί αυτό εμπειρικά. Οι τυπικές μετρήσεις της παραγωγικότητας μετρούν την παραγωγή σε όρους εισοδήματος ή ΑΕΠ ανά απασχολούμενο άτομο, οι οποίες είναι μετρήσεις τιμών και δεν αποκαλύπτουν τίποτα σχετικά με τη φυσική παραγωγή. Τέτοιες μετρήσεις δεν μπορούν να χρησιμοποιηθούν για τους σκοπούς μας: μας λένε ότι οι μισθοί και οι τιμές στον Νότο είναι χαμηλότεροι από τους μισθούς και τις τιμές στον Βορρά, αλλά αυτό είναι ακριβώς αυτό που πρέπει να εξηγηθεί [27,28]. Οι μελέτες για την άνιση ανταλλαγή υποστηρίζουν ότι οι τιμές είναι αποτέλεσμα ανισορροπιών ισχύος (μεταξύ εργασίας και κεφαλαίου, προμηθευτών και ηγετικών επιχειρήσεων, περιφέρειας και κέντρου) και, ως εκ τούτου, δεν μπορούν να θεωρηθούν ως ακριβής απεικόνιση της αξίας. Εάν οι μισθοί και οι τιμές του Νότου συμπιέζονται, η «παραγωγικότητα» του Νότου θα φαίνεται να επιδεινώνεται, ακόμη και αν δεν υπάρχει αλλαγή στην πραγματική φυσική παραγωγή. Για να εκτιμηθεί σωστά η δυναμική της παραγωγικότητας, θα πρέπει να μετρηθεί η φυσική παραγωγή σε συγκρίσιμες βιομηχανίες (βλ. ΣΣ 2. Για το ερώτημα της παραγωγικότητας για περαιτέρω συζήτηση).
Υπάρχουν διάφοροι λόγοι για να πιστεύουμε ότι οι διαφορές στη φυσική παραγωγικότητα δεν μπορούν να εξηγήσουν τις μεγάλες μισθολογικές διαφορές μεταξύ Βορρά και Νότου και την άνιση ανταλλαγή που παρατηρούμε. Πρώτον, στην περίπτωση των εξαγωγικών βιομηχανιών (και όχι των τομέων διαβίωσης και μη εμπορεύσιμων προϊόντων), το μεγαλύτερο μέρος της παραγωγής στο Νότο πραγματοποιείται με σύγχρονες τεχνικές, συχνά με τεχνολογίες που παρέχονται από διεθνές κεφάλαιο [9,10,14,20]. Οι εργαζόμενοι σε αυτές τις βιομηχανίες έχουν αποδειχθεί ότι παράγουν την ίδια ή μεγαλύτερη φυσική παραγωγή ανά ώρα από τους ομολόγους τους στο Βορρά [20,29]. Η παραγωγή στον Νότο χαρακτηρίζεται επίσης από μεγαλύτερη ένταση εργασίας, καθώς οι εργαζόμενοι υπόκεινται σε αυστηρά συστήματα ελέγχου που έχουν σχεδιαστεί για να μεγιστοποιούν την παραγωγή σε βαθμό που θα παραβίαζε τους κανονισμούς εργασίας στο κέντρο [30–32]. Δεύτερον, στις περιπτώσεις όπου οι εξαγωγικές βιομηχανίες του Νότου λειτουργούν με λιγότερο αποτελεσματικές τεχνολογίες, οι διαφορές παραγωγικότητας αντιπροσωπεύουν μόνο ένα μικρό μέρος του μισθολογικού χάσματος Βορρά-Νότου και της καθαρής οικειοποίησης του εργασιακού χρόνου [9,20]. Το βασικό γεγονός είναι ότι οι επιχειρήσεις του Βορρά επιλέγουν να χρησιμοποιούν εργατικό δυναμικό του Νότου όχι μόνο επειδή οι μισθοί είναι φθηνότεροι ανά ώρα, αλλά επειδή οι μισθοί είναι φθηνότεροι ανά μονάδα φυσικής παραγωγής [13]. Η μεταφορά εργασιών στο εξωτερικό συμβαίνει ακριβώς επειδή η διαφορά μισθών Βορρά-Νότου είναι μεγαλύτερη από οποιαδήποτε διαφορά φυσικής παραγωγικότητας. Τρίτον, οι φυσικές παραγωγικότητες μπορούν να συγκριθούν με νόημα μόνο για πανομοιότυπες εργασίες και προϊόντα. Για πολλές βιομηχανίες και κατηγορίες προϊόντων, η παραγωγή στον Νότο δεν έχει αντίστοιχο στον Βορρά, επειδή δεν μπορεί ή δεν πραγματοποιείται εκεί (όπως στην περίπτωση του καφέ, του κολτανίου, των smartphone, της γρήγορης μόδας κ.λπ.) [9,10,33]. Σε τέτοιες περιπτώσεις, η παραγωγικότητα δεν μπορεί να συγκριθεί και δεν μπορεί να εξηγήσει τις μισθολογικές ανισότητες και την άνιση ανταλλαγή. Περισσότερη ανάλυση διατίθεται στη ΣΣ 2. Για το ερώτημα της παραγωγικότητας.
Είναι σημαντικό να σημειωθεί ότι, σε περιπτώσεις όπου υπάρχουν διαφορές στη φυσική παραγωγικότητα, αυτό οφείλεται συχνά στο γεγονός ότι είναι πιο κερδοφόρο για το κεφάλαιο να χρησιμοποιεί φθηνότερες, πιο εντατικές σε εργατικό δυναμικό μεθόδους παρά να επενδύει σε σύγχρονο εξοπλισμό — ειδικά σε περιπτώσεις όπου οι κρατικές επενδύσεις στην τεχνολογική ανάπτυξη έχουν περιοριστεί από προγράμματα διαρθρωτικής προσαρμογής ή όπου τα διπλώματα ευρεσιτεχνίας εμποδίζουν την προσιτή πρόσβαση στις απαραίτητες τεχνολογίες — ακριβώς επειδή οι μισθοί στον Νότο διατηρούνται σε τεχνητά χαμηλά επίπεδα [34,35]. Αυτή η ρύθμιση ωφελεί τους καταναλωτές του Βορρά με φθηνότερα αγαθά και ωφελεί το κεφάλαιο του Βορρά με αυξημένο πλεόνασμα. Σε τέτοιες περιπτώσεις, η χρήση μεθόδων εντάσεως εργασίας διευκολύνει τη μεταφορά αξίας και πρέπει να θεωρείται ως άνιση ανταλλαγή. Υπό αυτές τις συνθήκες, ο Νότος αναγκάζεται να διαθέσει περισσότερη εργασία στην παραγωγή για το διεθνές εμπόριο από ό,τι θα απαιτούνταν εάν η τεχνολογία χρησιμοποιούνταν πιο ορθολογικά και δίκαια, με αποτέλεσμα να εξαντλείται —και να σπαταλιέται— μια κρίσιμη παραγωγική ικανότητα που θα μπορούσε διαφορετικά να διατεθεί για την παραγωγή αγαθών και υπηρεσιών απαραίτητων για την τοπική ευημερία και ανάπτυξη (βλ. ΣΣ 2. Για το ερώτημα της παραγωγικότητας).
Η μελέτη αυτή αξιολόγησε τις ροές ενσωματωμένης εργασίας μεταξύ του κέντρου και της περιφέρειας. Μια τέτοια προσέγγιση είναι σαφώς χρήσιμη για μια ευρεία ανάλυση του παγκόσμιου συστήματος, αλλά μπορεί να επισκιάσει άλλες σημαντικές δυναμικές. Μελλοντικές έρευνες μπορεί να θεωρήσουν χρήσιμο να διερευνήσουν μια πιο λεπτομερή περιφερειακή ανάλυση, προκειμένου να αξιολογήσουν πώς η περιφέρεια και η ημι-περιφέρεια (ή οι χώρες με χαμηλό και μεσαίο εισόδημα) επηρεάζονται διαφορετικά από την άνιση ανταλλαγή. Θα άξιζε επίσης να αξιολογηθούν οι δυναμικές των τάξεων και οι ανισότητες εντός των χωρών. Πρέπει να γίνει κατανοητό ότι η άνιση ανταλλαγή τελικά καθοδηγείται από τις εταιρείες και τους επενδυτές που ελέγχουν τις αλυσίδες εφοδιασμού, καθώς και από τα κράτη που καθορίζουν τους κανόνες του διεθνούς εμπορίου και των χρηματοοικονομικών, και όχι από τους εργαζομένους ή τους καταναλωτές. Μοτίβα άνισης ανταλλαγής μπορεί επίσης να λειτουργούν εντός των χωρών, μέσω της εκμετάλλευσης των «εσωτερικών περιφερειών» [36] (όπως η εξαιρετικά χαμηλόμισθη γεωργική εργασία στον πυρήνα, όπως φαίνεται στη Συμπληρωματική Εικόνα 2). Τέλος, η ανάλυσή μας δεν επεκτείνεται στη δυναμική των φύλων, συμπεριλαμβανομένης της μη αμειβόμενης οικιακής εργασίας ή της κοινωνικής αναπαραγωγής, η οποία αποτελεί επίσης συστατικό στοιχείο της άνισης ανταλλαγής και θα πρέπει να διερευνηθεί σε μελλοντική έρευνα του EEMRIO [37,38].
Τα αποτελέσματα αυτής της μελέτης υποδηλώνουν ότι η επιμονή της παγκόσμιας φτώχειας και της υπανάπτυξης είναι, σε μεγάλο βαθμό, αποτέλεσμα της οικειοποίησης μέσω άνισης ανταλλαγής, η οποία, με τη σειρά της, είναι αποτέλεσμα της καταστολής των μισθών ή του αποπληθωρισμού των εισοδημάτων στην περιφέρεια. Οι άνθρωποι στον παγκόσμιο Νότο έχουν περιορισμένη κατανάλωση, έτσι ώστε η εργασία, οι πόροι και τα αγαθά να είναι πιο εύκολα διαθέσιμα για οικειοποίηση από τα κράτη και τις επιχειρήσεις του Βορρά. Αυτή η δυναμική μας βοηθά επίσης να κατανοήσουμε τη διαρκή ανισότητα μεταξύ του κέντρου και της περιφέρειας. Υπό συνθήκες άνισης ανταλλαγής — όπου η παραγωγή των φτωχότερων χωρών καταχράται για κατανάλωση στις πλουσιότερες χώρες — η σύγκλιση δεν είναι εφικτή. Η ανάπτυξη και η εξάλειψη της φτώχειας, καθώς και οποιαδήποτε πιθανή πορεία για τη μείωση της παγκόσμιας ανισότητας, απαιτούν μια μετατόπιση στην ισορροπία δυνάμεων μεταξύ Βορρά και Νότου, έτσι ώστε ο τελευταίος να είναι σε θέση να ανακτήσει τις παραγωγικές του ικανότητες για την κάλυψη των ανθρώπινων αναγκών.
Προς τον σκοπό αυτό, τα διεθνή κατώτατα όρια μισθών και οι ελάχιστες τιμές των πόρων θα μπορούσαν να συμβάλουν στη μείωση των ανισοτήτων των τιμών και στον περιορισμό των μεταφορών αξίας. Η κατάργηση των άνισων ανταλλαγών θα απαιτήσει επίσης τον τερματισμό των όρων διαρθρωτικής προσαρμογής στον τομέα των χρηματοοικονομικών και τον εκδημοκρατισμό των θεσμών της παγκόσμιας οικονομικής διακυβέρνησης, έτσι ώστε οι κυβερνήσεις του παγκόσμιου Νότου να είναι ελεύθερες να χρησιμοποιούν τη βιομηχανική, τη δημοσιονομική και τη νομισματική πολιτική για να επιδιώξουν την κυρίαρχη ανάπτυξη και να μειώσουν την εξάρτησή τους από το κεφάλαιο του Βορρά. Ωστόσο, είναι απίθανο τέτοιες μεταρρυθμίσεις να επιβληθούν από τα πάνω. Θα απαιτηθεί ένας πολιτικός αγώνας για την εθνική αυτοδιάθεση και την οικονομική κυριαρχία, παρόμοιος σε έκταση με το αντι-αποικιακό κίνημα του 20ού αιώνα.
Μεθοδολογία
Εξαγωγή δεδομένων από την EXIOBASE
Οι πίνακες εισροών-εκροών (Σ.τ.Μ, Input-Output, IO) καταγράφουν την ανταλλαγή αγαθών και υπηρεσιών μεταξύ διαφόρων τομέων μιας οικονομίας, ενσωματώνοντας την ενδιάμεση ζήτηση (Z), την τελική ζήτηση (y) και την προστιθέμενη αξία (v) [39]. Συμπληρώνοντας τους χρηματικούς πίνακες IO, οι πίνακες επέκτασης καταγράφουν τις μη χρηματικές ροές που συνδέονται με οικονομικές δραστηριότητες, όπως η εξόρυξη πρώτων υλών, η χρήση ενέργειας, η χρήση γης και οι απαιτήσεις σε εργασία. Συνδυάζοντας δεδομένα σχετικά με την οικονομική δομή των αλυσίδων εφοδιασμού από πολυπεριφερειακούς πίνακες εισροών-εκροών [Σ.τ.Μ., multi-regional Input-output, MRIO] με πληροφορίες σχετικά με τις περιβαλλοντικές και κοινωνικοοικονομικές πιέσεις που προκύπτουν σε όλη την αλυσίδα εφοδιασμού, η ανάλυση διευρυμένων περιβαλλοντικά πολυπεριφερειακών μοντέλων εισροών-εκροών [Σ.τ.Μ., environmentally extended multi-regional input-output, EEMRIO] επιτρέπει την αξιολόγηση τόσο των κοινωνικοοικονομικών όσο και των περιβαλλοντικών επιπτώσεων σε όλο το δίκτυο της αλυσίδας εφοδιασμού που τελικά φτάνει στον τελικό καταναλωτή, ένα φαινόμενο γνωστό ως «αποτύπωμα» [40]. Για μια πιο εμπεριστατωμένη εισαγωγή στην EEMRIO, βλ. παραπομπή [41].
Η μέθοδος EEMRIO χρησιμοποιεί έναν πίνακα MRIO που καταγράφει το διαπεριφερειακό εμπόριο μεταξύ τομέων σε διάφορες χώρες. Εάν y είναι ένας πίνακας τελικής ζήτησης, η συνολική παραγωγή του τομέα i (xi) θα δίνεται από το άθροισμα της σειράς i, όπου zij είναι οι ενδιάμεσες πωλήσεις από τον τομέα i στον τομέα j, και yic είναι η τελική ζήτηση για προϊόντα του τομέα i από τη χώρα c [42]:
![]()
Το πλαίσιο IO που βασίζεται στη ζήτηση μπορεί να υπολογιστεί χρησιμοποιώντας την εξίσωση:

όπου A είναι ο πίνακας άμεσων απαιτήσεων. Εδώ, το στοιχείο aij δίνει τις άμεσες εισροές που ο τομέας j απαιτεί από τον τομέα i (zij) προκειμένου να παράγει μια μονάδα παραγωγής xj [42]:
![]()
Ο πίνακας L = (I – A)-1 είναι γνωστός ως «αντίστροφος Leontief», του οποίου τα στοιχεία ποσοτικοποιούν τις συνολικές άμεσες και έμμεσες εισροές από τον τομέα i που απαιτούνται για την παραγωγή μιας μονάδας βιομηχανικού προϊόντος j για την τελική ζήτηση. Το L προσεγγίζει τη δυνητικά άπειρη αλυσίδα παραγωγής που απαιτείται για την παραγωγή μιας μονάδας τελικού προϊόντος [43]· για παράδειγμα, ένα iPad που πωλείται στις Ηνωμένες Πολιτείες μπορεί να συναρμολογηθεί στην Κίνα χρησιμοποιώντας εξαρτήματα που κατασκευάζονται στη Νότια Κορέα, τα οποία με τη σειρά τους απαιτούν υποσυστήματα που παράγονται στις Φιλιππίνες από πρώτες ύλες που εξάγονται και επεξεργάζονται σε άλλες χώρες και τομείς κ.λπ. [19]. Πολλαπλασιάζοντας το L με την τελική ζήτηση y αποδίδει τις συνολικές εισροές, προς τα πάνω, που απαιτούνται για την παραγωγή των αγαθών και υπηρεσιών που καταναλώνονται από νοικοκυριά, κυβερνήσεις και άλλους, X, σε χρηματικές μονάδες.
Οι περιβαλλοντικοί ή κοινωνικοοικονομικοί συντελεστές, οι οποίοι καθορίζουν τις πιέσεις ή τις επιπτώσεις, αποθηκεύονται στον διάνυσμα έντασης q που αντιπροσωπεύει την πίεση ή την επίπτωση ανά μονάδα της συνολικής παραγωγής των βιομηχανιών, όπως οι ώρες εργασίας που απαιτούνται για την παραγωγή μιας μονάδας παραγωγής. Για τους σκοπούς μας, θέλουμε να υπολογίσουμε την εργασία από τον τομέα i της χώρας παραγωγής p που ενσωματώνεται στην τελική ζήτηση της χώρας κατανάλωσης c. Αυτό απαιτεί απλώς τον πολλαπλασιασμό των απαιτήσεων εργασίας ανά μονάδα παραγωγής του τομέα i στη χώρα p (αποθηκευμένες στον διάνυσμα q) με τη συνολική παραγωγή από την ίδια χώρα και τον ίδιο τομέα που απαιτείται για την κάλυψη της τελικής ζήτησης στη χώρα κατανάλωσης c (αποθηκευμένη στον πίνακα X). Εάν y είναι ένας διάνυσμα μίας στήλης της τελικής ζήτησης, ο πίνακας ροής F μπορεί να εκφραστεί ως πίνακας ως:
![]()
Όπου το σύμβολο «καπελάκι» (^) αντιπροσωπεύει ένα διαγώνιο διάνυσμα· δείχνει τις εισροές εργασίας ανά τομέα και περιοχή που απαιτούνται για την ικανοποίηση κάθε κατηγορίας προϊόντων τελικής ζήτησης y [44].
Εφαρμόσαμε την ανάλυση EEMRIO χρησιμοποιώντας δεδομένα από τη βάση δεδομένων MRIO EXIOBASE v.3.8.1 [45]. Η EXIOBASE 3 παρουσιάζει μια ολοκληρωμένη και ενημερωμένη σειρά πινάκων EEMRIO για 200 τομείς προϊόντων, που καλύπτουν το χρονικό διάστημα από το 1995 έως ένα πρόσφατο έτος. Τα δεδομένα περιλαμβάνουν 44 μεμονωμένες χώρες, που αποτελούνται από 28 κράτη μέλη της Ευρωπαϊκής Ένωσης καθώς και 16 άλλες σημαντικές οικονομίες, επιπλέον των πέντε περιφερειακών συγκεντρώσεων που μαζί καλύπτουν τον υπόλοιπο κόσμο. Για να υπολογίσουμε τις ροές εργασίας με βάση την κατανάλωση μεταξύ των επιλεγμένων κατηγοριών, χρησιμοποιήσαμε τους κοινωνικοοικονομικούς συντελεστές για τους λογαριασμούς εργασίας, συμπεριλαμβανομένου του χρόνου εργασίας (που εκφράζεται σε ώρες) και της αμοιβής (που εκφράζεται σε σταθερά ευρώ του 2005) για κάθε επίπεδο δεξιοτήτων. Εξετάσαμε την περίοδο από το 1995, που είναι το παλαιότερο έτος για το οποίο υπάρχουν διαθέσιμα στοιχεία στην EXIOBASE v.3.8.1, έως το 2021.
Ένας βασικός περιορισμός της EXIOBASE είναι η χρήση του «now-casting» [Σ.τ.Μ., πρόβλεψη τρέχουσας περιόδου] από το 2011 [46]. Ωστόσο, δεδομένου ότι δεν έχουμε λόγο να αναμένουμε μεγάλες αλλαγές στην αποδοτικότητα της εργασίας ή στις τάσεις των μισθών κατά την τελευταία περίοδο, ούτε ξαφνικές αλλαγές στη δομή της παγκόσμιας οικονομίας, πιστεύουμε ότι είναι λογικό να χρησιμοποιήσουμε τα «now-casted» προβλεφθέντα δεδομένα της τρέχουσας περιόδου για τους σκοπούς μας.
Περιφερειακές ομαδοποιήσεις
Η ανάλυσή μας εδώ επικεντρώνεται στις ροές μεταξύ του πυρήνα και της περιφέρειας του παγκόσμιου συστήματος, χρησιμοποιώντας τις ταξινομήσεις των χωρών που παρατίθενται στον Συμπληρωματικό Πίνακα 1. Ως υποκατάστατο του κέντρου, ή του παγκόσμιου Βορρά, χρησιμοποιήσαμε τον κατάλογο των «προηγμένων οικονομιών» του ΔΝΤ ως οδηγό και δημιουργήσαμε την πλησιέστερη δυνατή προσέγγιση αυτού του καταλόγου, δεδομένων των χωρών που είναι διαθέσιμες στο EXIOBASE. Η κατηγορία περιλαμβάνει τις ΗΠΑ, το Ηνωμένο Βασίλειο, τον Καναδά, την Αυστραλία, τη Νορβηγία, την Αυστρία, το Βέλγιο, τη Γερμανία, τη Δανία, τη Γαλλία, το Λουξεμβούργο, τις Κάτω Χώρες, τη Φινλανδία, τη Σουηδία, την Ελβετία, την Ιαπωνία, τη Νότια Κορέα, την Εσθονία, την Ισπανία, την Ελλάδα, την Ιρλανδία, την Ιταλία, τη Λετονία, τη Μάλτα, την Πορτογαλία, τη Σλοβενία, τη Σλοβακία, την Ταϊβάν, την Κύπρο και την Τσεχική Δημοκρατία.
Η περιφέρεια, ή ο παγκόσμιος Νότος, περιλαμβάνει όλες τις άλλες χώρες (δηλ. τις «αναδυόμενες και αναπτυσσόμενες» χώρες του ΔΝΤ). Στην EXIOBASE, αρκετές από τις «προηγμένες οικονομίες» του ΔΝΤ (Σιγκαπούρη, Άγιος Μαρίνος, Ισλανδία, Ισραήλ, Λιχτενστάιν, Ειδική Διοικητική Περιοχή Μακάο, Χονγκ Κονγκ, Πουέρτο Ρίκο, Μονακό, Βερμούδες, Ανδόρα και Νέα Ζηλανδία) συγκεντρώνονται σε περιοχές, όπως η «Υπόλοιπη Ευρώπη», η «Υπόλοιπη Ασία» κ.λπ. Ως εκ τούτου, αναγκαστήκαμε να συμπεριλάβουμε αυτές τις χώρες στην κατηγορία «παγκόσμιος Νότος». Το αποτέλεσμα είναι ότι τα αποτελέσματά μας για τους μισθούς στον παγκόσμιο Νότο είναι πιθανό να είναι ελαφρώς υψηλότερα, και τα αποτελέσματά μας για τη διαρροή εργατικού δυναμικού από τον παγκόσμιο Νότο ελαφρώς χαμηλότερα, από ό,τι θα ήταν αν μπορούσαμε να αντιστοιχίσουμε τις κατηγορίες του ΔΝΤ με μεγαλύτερη ακρίβεια. Πρόκειται όμως για μικρές χώρες και η επίδραση είναι πιθανό να είναι ελάχιστη.
Επίπεδα ειδίκευσης
Στο EXIOBASE, οι κατηγορίες επιπέδου δεξιοτήτων ορίζονται σύμφωνα με το σύστημα ταξινόμησης της Διεθνούς Οργάνωσης Εργασίας για χαμηλής, μέσης και υψηλής ειδίκευσης εργατικό δυναμικό. Ο Πίνακας 2 συνοψίζει τις κατηγορίες της ILO [Σ.τ.Μ., International Labour Organization, Διεθνής Οργάνωση Εργασίας] ανά επάγγελμα και επίπεδο εκπαίδευσης, με βάση την ISCO [Σ.τ.Μ., International Standard Classification of Occupations, Διεθνή Τυποποιημένη Ταξινόμηση Επαγγελμάτων]. Η ILO παρέχει εκτενείς περιγραφές για κάθε επάγγελμα, οι οποίες είναι διαθέσιμες σε περαιτέρω τεκμηρίωση [47]. Για παράδειγμα, τα «βασικά επαγγέλματα» περιλαμβάνουν την εκτέλεση απλών εργασιών που μπορεί να απαιτούν τη χρήση χειροκίνητων εργαλείων και σωματικής προσπάθειας, όπως καθαρισμός, αναπλήρωση αποθεμάτων, εκτέλεση βασικών εργασιών συντήρησης σε κτίρια, εκτέλεση χειρωνακτικής εργασίας στη γεωργία, την αλιεία, τα ορυχεία, τη μεταποίηση, τις κατασκευές κ.λπ.
Πίνακας 2. Περιγραφή των επιπέδων ειδίκευσης της ILO, όπως χρησιμοποιούνται στην EXIOBASE.
Τομείς
Χωρίσαμε τα δεδομένα παραγωγής του EXIOBASE σε πέντε τομείς (γεωργία, μεταποίηση, εξόρυξη, υπηρεσίες και «άλλα»), με βάση τη προτεινόμενη τομεακή συγκέντρωση των πινάκων προϊόντων (διαθέσιμη εδώ). Η κατηγορία «άλλα» συγκεντρώνει τους τομείς της ηλεκτρικής ενέργειας και των υπηρεσιών κοινής ωφέλειας, των κατασκευών και των μεταφορών. Πλήρεις λεπτομέρειες σχετικά με τη σύνθεση των τομέων διατίθενται στα Συμπληρωματικά Δεδομένα 1.
Χρηματικές μονάδες
Η EXIOBASE αναφέρει χρηματικές μονάδες σε σταθερά ευρώ του 2005, οι οποίες ελέγχουν τον πληθωρισμό. Αυτές οι μονάδες εκφράζονται σε MER [Σ.τ.Μ., market exchange rates, συναλλαγματικές ισοτιμίες της αγοράς] (με τις τοπικές χρηματικές μονάδες να μετατρέπονται στην αγοραία συναλλαγματική ισοτιμία) και όχι σε PPP [Σ.τ.Μ., Purchasing Power Parity, ισοτιμίες αγοραστικής δύναμης]. Οι PPP είναι χρήσιμες για την κατανόηση της αγοραστικής δύναμης των ανθρώπων σε αγαθά εντός μιας εθνικής οικονομίας. Ωστόσο, οι MER είναι πιο κατάλληλες για την κατανόηση της αγοραστικής δύναμης σε αγαθά στην παγκόσμια αγορά, που είναι και ο σκοπός αυτού του άρθρου. Είναι καθιερωμένο στην πολιτική οικονομία ότι οι μέθοδοι PPP δεν είναι κατάλληλες για τη μέτρηση του σχετικού διεθνούς πλούτου και ισχύος, ή του ελέγχου επί του παγκόσμιου προϊόντος [12,48,49–51]. Σύμφωνα με τον Αρίγκι, «Ενώ τα δεδομένα PPP επιτρέπουν μια πιο κατάλληλη περιγραφή των τάσεων στην υλική κατανάλωση, τα δεδομένα που βασίζονται σε συναλλαγματικές ισοτιμίες είναι ένα καλύτερο μέτρο των διαφορών στο σχετικό επίπεδο εισοδήματος/πλούτου μεταξύ των κατοίκων διαφορετικών χωρών στην παγκόσμια οικονομία. Ο πλούτος σε μια παγκόσμια οικονομία είναι ο έλεγχος που έχουν οι άνθρωποι επί των αγαθών και των υπηρεσιών των άλλων στην παγκόσμια αγορά. Τα δεδομένα που έχουν προσαρμοστεί στην PPP στην πραγματικότητα συσκοτίζουν αυτό που επιδιώκουμε να μετρήσουμε» [48]. Όπως γράφει ο Ricci, για τους λόγους αυτούς «είναι προτιμότερο να χρησιμοποιούμε… τις συναλλαγματικές ισοτιμίες της αγοράς για να συγκρίνουμε την αγοραστική δύναμη του εισοδήματος στην παγκόσμια οικονομία» [12].
Επισκόπηση των υπολογισμών
Συγκεντρώσαμε στοιχεία σχετικά με την εργασία που ενσωματώνεται στα εμπορεύματα και τις υπηρεσίες που κυκλοφορούν από τον Βορρά προς τον Νότο, από τον Νότο προς τον Βορρά, μεταξύ των χωρών του Νότου και μεταξύ των χωρών του Βορρά, για τα τρία επίπεδα δεξιοτήτων και τα πέντε συγκεντρωτικά στοιχεία των τομέων που αναφέρονται παραπάνω, μαζί με την αμοιβή εργασίας που καταβάλλεται για αυτές τις ροές. Λάβαμε επίσης στοιχεία σχετικά με την εργασία ανά επίπεδο δεξιοτήτων και τομέα που εμπλέκεται στην εγχώρια παραγωγή και κατανάλωση τόσο στον παγκόσμιο Βορρά όσο και στον παγκόσμιο Νότο (δηλ. εργασία που εμπλέκεται στην παραγωγή μη εμπορεύσιμων αγαθών), μαζί με την καταβληθείσα αμοιβή. Για να υπολογίσουμε την καθαρή οικειοποίηση της εργασίας από τον Βορρά, αφαιρέσαμε τις ροές από τον Βορρά προς τον Νότο από τις ροές από τον Νότο προς τον Βορρά. Για τον υπολογισμό της συνολικής κατανάλωσης του Βορρά, αθροίσαμε τις ροές του Νότου προς τον Βορρά μαζί με τις ροές των εμπορεύσιμων αγαθών εντός του Βορρά και την παραγωγή και κατανάλωση μη εμπορεύσιμων αγαθών εντός του Βορρά. Οι μισθοί (ευρώ/ώρα) για κάθε περιοχή υπολογίζονται ως η συνολική αποζημίωση (σε ευρώ) που λαμβάνει η περιοχή για τις εξαγωγές εργασίας της διαιρούμενη με τις συνολικές εξαγωγές εργασίας (σε ώρες). Για να υπολογίσουμε τις ώρες εργασίας ανά εργαζόμενο, διαιρέσαμε τις συνολικές ώρες εργασίας που πραγματοποιήθηκαν σε κάθε περιοχή με τον συνολικό αριθμό των απασχολούμενων εργαζομένων, που επίσης προέρχεται από την EXIOBASE.
Συμπληρωματική Συζήτηση
ΣΣ 1. Αναπαράσταση της χρηματικής αξίας των μεταφορών από τον Νότο προς τον Βορρά
Η καθαρή οικειοποίηση ή διαρροή εργασίας από τον παγκόσμιο Νότο γίνεται καλύτερα κατανοητή με όρους δυνητικών αξιών χρήσης. Ωστόσο, πέραν του υπολογισμού της φυσικής κλίμακας της καθαρά οικειοποιημένης εργασίας, την έχουμε επίσης αποτυπώσει σε όρους των επικρατουσών μισθών του Βορρά ως σημείου αναφοράς. Υιοθετώντας αυτή την προσέγγιση και λαμβάνοντας υπόψη τα επίπεδα δεξιοτήτων, διαπιστώνουμε ότι η μισθολογική αξία της καθαρά ιδιοποιημένης εργασίας ήταν ισοδύναμη με 16,9 τρισεκατομμύρια ευρώ το 2021. Το μέγεθος αυτό μπορεί επίσης να νοηθεί ως μια προσέγγιση του πρόσθετου εισοδήματος που θα αποκόμιζαν οι εργαζόμενοι του Νότου για την εργασία που ενσωματώνεται στις εξαγωγές τους προς τον παγκόσμιο Βορρά, εάν αμείβονταν με ίσους μισθούς με τους εργαζόμενους του Βορρά για εργασία ίσου επιπέδου δεξιοτήτων.
Ένας εναλλακτικός τρόπος εννοιολογικής κατανόησης της μισθολογικής αξίας της διαρρέουσας εργασίας είναι να θεωρηθεί ότι, εάν ο Βορράς επιδίωκε να διατηρήσει τα υφιστάμενα επίπεδα κατανάλωσής του χωρίς καθαρή οικειοποίηση, τότε — κρατώντας όλα τα άλλα σταθερά (δηλαδή, υποθέτοντας ίση παραγωγικότητα της εργασίας) — θα απαιτούνταν η κινητοποίηση επιπλέον 826 δισεκατομμυρίων ωρών εργασίας, με μισθολογικό κόστος 16,9 τρισεκατομμυρίων ευρώ. Ωστόσο, εάν ο Βορράς διαθέτει υψηλότερα επίπεδα παραγωγικότητας, θα μπορούσε να διατηρήσει τα υφιστάμενα επίπεδα κατανάλωσής του απουσία άνισης ανταλλαγής κινητοποιώντας λιγότερες από 826 δισεκατομμύρια επιπλέον ώρες εργασίας και, συνεπώς, με χαμηλότερο κόστος. Παρ’ όλα αυτά, το επιχείρημα αυτό καθίσταται άνευ αντικειμένου στον βαθμό που οι εισαγωγές του Βορρά από τον Νότο δεν μπορούν να υποκατασταθούν (όπως στην περίπτωση προϊόντων όπως ο καφές, το κολτάν κ.ά.), ή στον βαθμό που ο Βορράς δεν μπορεί να υποκαταστήσει όλους τους αναγκαίους συντελεστές παραγωγής (όπως η γη και τα υλικά), ή στον βαθμό που δεν μπορεί να κινητοποιηθεί μια επαρκώς μεγάλη ποσότητα πρόσθετης εργασίας, κ.ο.κ.
Είναι σημαντικό να σημειωθεί ότι αυτή η προσέγγιση (ανεξαρτήτως του επιπέδου μισθών που χρησιμοποιείται για τη χρηματική αποτύπωση της ιδιοποιημένης εργασίας) δεν αποτυπώνει το πλήρες εύρος της μεταβίβασης αξίας μέσω της άνισης ανταλλαγής. Οι εργαζόμενοι δεν παράγουν μόνο την αξία που λαμβάνουν ως μισθούς, αλλά και την αξία που ιδιοποιείται ως κέρδος. Εάν περίπου το ήμισυ της συνολικής παραγωγής τυγχάνει οικειοποίησης ως κέρδη (ή με άλλον τρόπο δεν διανέμεται υπό μορφή μισθών), τότε η συνολική αξία της παραγωγής είναι διπλάσια του μισθολογικού κόστους. Εάν χρησιμοποιήσουμε στοιχεία για τον παγκόσμιο Βορρά, όπου το μερίδιο της εργασίας στο ΑΕΠ ανήλθε στο 55,4% το 2021, τότε 826 δισεκατομμύρια ώρες εργασίας θα είχαν παραγάγει συνολική αξία ισοδύναμη με περίπου 30,5 τρισεκατομμύρια ευρώ.
Οι χρηματικές αποτυπώσεις της μεταβίβασης αξίας μέσω της άνισης ανταλλαγής αποτελούν πάντοτε, σε κάποιο βαθμό, νοητικά πειράματα. Υπό τις επικρατούσες συνθήκες, γνωρίζουμε ότι 826 δισεκατομμύρια ώρες εργασίας που κινητοποιήθηκαν στον παγκόσμιο Βορρά, με το συγκεκριμένο προφίλ δεξιοτήτων της διαρρέουσας ποσότητας το 2021, θα παρήγαν αξία ύψους 30,5 τρισεκατομμυρίων ευρώ. Είναι εύλογο να υποτεθεί ότι, εάν η εργασία και οι πόροι του Νότου δεν είχαν υποτιμηθεί και εάν οι οικονομίες του Νότου ήταν ελεύθερες να αναπτύξουν τις παραγωγικές τους ικανότητες, τότε, με παρόμοια ποσότητα εργασίας, θα παρήγαν παρόμοια ποσότητα αξίας. Σε σχέση με αυτό το αντιπαραθετικό σενάριο, η διαρροή 826 δισεκατομμυρίων ωρών το 2021 μπορεί να θεωρηθεί ότι αντιπροσωπεύει μια μεταβίβαση αξίας ύψους 30,5 τρισεκατομμυρίων ευρώ.
Το αποτέλεσμα αυτό προσεγγίζει πιο στενά τη σύλληψη της μεταβίβασης αξίας του Αμίν. Ο Αμίν υπολόγισε τη μεταβίβαση αξίας ως τη διαφορά μεταξύ των συνολικών τιμών των εξαγωγών του Νότου προς τον Βορρά και των τιμών που θα είχαν επιτύχει τα ίδια προϊόντα εάν παρέχονταν από τον Βορρά, «με τις ίδιες τεχνικές και, συνεπώς, με την ίδια παραγωγικότητα»[1].Με παρόμοιο τρόπο, το ποσό των 30,5 τρισεκατομμυρίων ευρώ προσεγγίζει την πρόσθετη ποσότητα χρήματος που θα είχε λάβει ο Νότος για τις εξαγωγές του προς τον Βορρά το 2021, εάν είχε επιτύχει τις τιμές του Βορρά.
Φυσικά, όπως συμβαίνει με όλες τις χρηματικές αναπαραστάσεις της αξίας, το μέγεθος αυτό θα πρέπει να αντιμετωπίζεται με προσοχή. Οι τιμές του Βορρά αποτελούν τεχνούργημα της υφιστάμενης οικονομίας (δηλαδή της υφιστάμενης ισορροπίας ισχύος, του υφιστάμενου επιπέδου εμπορευματοποίησης κ.λπ.), συμπεριλαμβανομένων και των υφιστάμενων δυναμικών της άνισης ανταλλαγής. Σε ένα αντιπαραθετικό σενάριο χωρίς άνιση ανταλλαγή, οι τιμές του Βορρά θα ήταν διαφορετικές.
ΣΣ 2. Για το ερώτημα της παραγωγικότητας
Η παρούσα μελέτη καταδεικνύει ότι μεγάλες μισθολογικές ανισότητες μεταξύ Βορρά και Νότου, καθώς και άνιση ανταλλαγή, υφίστανται ακόμη και όταν λαμβάνονται υπόψη οι τομείς και τα επίπεδα δεξιοτήτων. Είναι πιθανό ένα μέρος αυτού του φαινομένου να οφείλεται σε διαφορές παραγωγικότητας, αν και στο κύριο κείμενο περιγράφουμε συνοπτικά τους λόγους για τους οποίους αυτό είναι απίθανο να εξηγήσει ουσιαστικά την έκταση της άνισης ανταλλαγής.
Το ερώτημα αυτό δεν μπορεί να αξιολογηθεί με τη χρήση συμβατικών δεικτών παραγωγικότητας (οι οποίοι βασίζονται στις τιμές), για λόγους που περιγράφουμε στο κύριο κείμενο. Όπως εξηγεί ο Andrew Fischer:
«Το πρόβλημα με τη χρήση της προστιθέμενης αξίας ως υποκατάστατου της παραγωγικότητας είναι ότι η προστιθέμενη αξία αντιπροσωπεύει έναν συνδυασμό εκροής (υλικής και άυλης) και τιμών/μισθών. Η “παραγωγική” απασχόληση στον τριτογενή τομέα, για παράδειγμα, αντανακλά σε εξίσου μεγάλο βαθμό τα επίπεδα μισθών στον συγκεκριμένο τομέα όσο και οποιαδήποτε έννοια παραγωγικής εκροής καθαυτή (για παράδειγμα, ποια είναι η εκροή ενός δικηγόρου ή ενός γραφειοκράτη;). Ως εκ τούτου, η χρήση της προστιθέμενης αξίας ως συντομογραφίας της παραγωγικότητας οδηγεί σε παράλογες λογικές συνεπαγωγές, όπως η υπόθεση ότι ένας κουρέας στις Ηνωμένες Πολιτείες είναι 30 ή και περισσότερες φορές πιο παραγωγικός από έναν κουρέα στην Ινδία, παρότι και οι δύο “παράγουν” τον ίδιο αριθμό κουρεμάτων ανά ώρα (σύμφωνα με τα γούστα και τις προσδοκίες των πελατών τους), απλώς και μόνο επειδή ο μισθός του κουρέα στις Ηνωμένες Πολιτείες είναι 30 ή και περισσότερες φορές υψηλότερος. …Με άλλα λόγια, μεγάλο μέρος αυτού που αποτυπώνεται στους περισσότερους συμβατικούς δείκτες παραγωγικότητας αντιστοιχεί στην πραγματικότητα σε διαφορές τιμών ή μισθών, και όχι σε πραγματική προσπάθεια ή εκροή, ιδίως σε οικονομίες που βασίζονται ολοένα και περισσότερο στις υπηρεσίες.»[2]
Το φυσικό κεφάλαιο ανά εργαζόμενο ενδέχεται να συμβάλλει καλύτερα στην κατανόηση των διαφορών παραγωγικότητας, ωστόσο τα σχετικά δεδομένα είναι διαθέσιμα μόνο σε εθνικό επίπεδο (δηλαδή για τη συνολική παραγωγή), ενώ για τους σκοπούς της παρούσας ανάλυσης κρίσιμη σημασία έχουν οι συγκεκριμένοι τομείς και κλάδοι που εμπλέκονται στην παραγωγή των αγαθών που αποτελούν αντικείμενο εμπορίου μεταξύ Βορρά και Νότου. Τελικά, η εμπειρική απάντηση στο ζήτημα της παραγωγικότητας θα απαιτούσε δεδομένα για τη φυσική εκροή ανά ώρα εργασίας, με σύγκριση πανομοιότυπων σταδίων στη διαδικασία παραγωγής πανομοιότυπων προϊόντων. Δυστυχώς, τέτοια δεδομένα δεν είναι άμεσα διαθέσιμα για το εύρος των χωρών που αναλύουμε εδώ. Ακόμη και αν ήταν διαθέσιμα, τα ευρήματα που αφορούν συγκρίσιμα προϊόντα και διαδικασίες δεν θα μπορούσαν να γενικευθούν στο σύνολο του εμπορίου Βορρά–Νότου, διότι —όπως περιγράφεται στο κύριο κείμενο (και όπως έχουν επισημάνει οι Αμίν, Εμμανουήλ και άλλοι)— πολλές από τις εξαγωγές του Νότου δεν έχουν αντίστοιχο στην παραγωγή του Βορρά. Όπου υπάρχουν διαθέσιμα δεδομένα για συγκρίσεις φυσικής παραγωγικότητας, αυτά καταδεικνύουν ότι οι ανισότητες παραγωγικότητας δεν εξηγούν τις εισοδηματικές ανισότητες[3].
Πράγματι, μελέτες δείχνουν ότι πολλοί εξαγωγικοί κλάδοι στον παγκόσμιο Νότο είναι εξίσου παραγωγικοί, αν όχι περισσότερο, από τις επιχειρήσεις του Βορρά που παράγουν παρόμοια προϊόντα. Όπως γράφει ο Arjun Makhijani:
«Το προϊόν που πωλούν οι χώρες με εξαγωγικές πλατφόρμες στον αναπτυσσόμενο κόσμο δεν είναι απλώς φθηνή εργασία, αλλά ιδιαίτερα παραγωγική εργασία. Στη Σιγκαπούρη, η McGraw Hill παράγει μέσα σε ένα έτος μια εγκυκλοπαίδεια που στις Ηνωμένες Πολιτείες απαιτεί πέντε έτη για να παραχθεί. … Οι Μεξικανοί εργάτες μετάλλου είναι κατά 40% πιο παραγωγικοί από τους εργαζόμενους στις Ηνωμένες Πολιτείες, οι εργαζόμενοι στα ηλεκτρονικά κατά 10 έως 15% πιο παραγωγικοί, και οι ράπτριες παράγουν κατά 30% περισσότερη ραφή ανά ώρα σε σύγκριση με τις αντίστοιχες στις Ηνωμένες Πολιτείες.»[4]
Η υψηλή παραγωγικότητα της εργασίας του Νότου σε αυτές τις περιπτώσεις δεν είναι εντυπωσιακή, δεδομένου ότι οι περισσότερες εξαγωγικές βιομηχανίες του Νότου χρησιμοποιούν προηγμένες τεχνολογίες που παρέχονται από ξένο κεφάλαιο. Ο Σαμίρ Αμίν επισημαίνει ότι «οι εξαγωγές του Τρίτου Κόσμου δεν αποτελούνται, ως επί το πλείστον, από αγροτικά προϊόντα που προέρχονται από καθυστερημένους τομείς χαμηλής παραγωγικότητας»[5]. Αντιθέτως, εκτιμά ότι ήδη από το 1966 περίπου τα τρία τέταρτα των εξαγωγών του Νότου προς τον Βορρά παράγονταν στον «υπερσύγχρονο καπιταλιστικό τομέα (πετρέλαιο, εξορύξεις και πρωτογενής επεξεργασία ορυκτών, σύγχρονες φυτείες – όπως εκείνες της United Fruit στην Κεντρική Αμερική ή της Unilever στην Αφρική και τη Μαλαισία)». Είναι πιθανό ότι το ποσοστό αυτό έχει αυξηθεί τις τελευταίες δεκαετίες ως αποτέλεσμα της παγκοσμιοποίησης και της ανόδου των παγκόσμιων αλυσίδων εμπορευμάτων.
Στο εμπόριο υπηρεσιών, όπου τα κριτήρια σύγκρισης μπορούν να πληρωθούν ευκολότερα (π.χ. εργασία πληροφορικής, τηλεφωνικά κέντρα, εμπορική αεροπορία, τουριστική φιλοξενία, χρηματοοικονομικές υπηρεσίες κ.λπ.), γενικά παρατηρείται μικρή έως μηδενική διαφορά στη φυσική εκροή ανά ώρα εργασίας. Κι όμως, όπως δείχνουμε στην παρούσα μελέτη, μεγάλες μισθολογικές ανισότητες και άνιση ανταλλαγή εξακολουθούν να υφίστανται ακόμη και σε αυτόν τον τομέα. Για παράδειγμα, η φυσική παραγωγικότητα της εργασίας που απασχολείται στο ξενοδοχείο Marriott στην Άκρα της Γκάνας θα είναι παρόμοια με εκείνη του ξενοδοχείου Marriott στο Κάλγκαρι του Καναδά, ωστόσο οι μισθολογικές ανισότητες μεταξύ των δύο είναι πολύ μεγάλες.
Βεβαίως, είναι πιθανό ορισμένοι εξαγωγικοί κλάδοι στον παγκόσμιο Νότο να εξακολουθούν να λειτουργούν με λιγότερο παραγωγικές τεχνολογίες. Ωστόσο, οι θεωρητικοί της εξάρτησης υποστηρίζουν ότι η άνιση ανταλλαγή εξακολουθεί να λαμβάνει χώρα και σε αυτές τις περιπτώσεις, διότι οι μισθολογικές διαφορές είναι μεγαλύτερες από τις διαφορές παραγωγικότητας. Σύμφωνα με τον Σαμίρ Αμίν, το 1966 περίπου το 25% των εξαγωγών του Νότου «παρεχόταν από καθυστερημένους τομείς χαμηλής παραγωγικότητας (αγροτικά προϊόντα που προέρχονταν από αγροτικές κοινότητες παραδοσιακού τύπου)»[6]. Αντλώντας από σύγχρονες αγρονομικές μελέτες, ο Αμίν εκτίμησε ότι η παραγωγικότητα σε αυτόν τον τομέα θα μπορούσε να διπλασιαστεί μέσω της εφαρμογής «σύγχρονων ευρωπαϊκών τεχνικών». Με άλλα λόγια, εάν η παραγωγικότητα από μόνη της καθόριζε την άνιση ανταλλαγή, θα αναμέναμε έναν λόγο ανταλλαγής εργασίας της τάξης του 2:1. Στην πραγματικότητα, όμως, ο παρατηρούμενος λόγος είναι πολύ μεγαλύτερος από αυτόν (η παρούσα μελέτη καταδεικνύει λόγους μεταξύ 10:1 και 20:1). Ο Αμίν κατέληξε, συνεπώς, στο συμπέρασμα ότι το μεγαλύτερο μέρος της άνισης ανταλλαγής δεν μπορεί να αποδοθεί σε διαφορές παραγωγικότητας. Αυτό επιβεβαιώνεται από μια πρόσφατη μελέτη, η οποία διαπιστώνει ότι το σχετικό τεχνολογικό απόθεμα μιας χώρας (όπως μετριέται από τον δείκτη υιοθέτησης τεχνολογίας του Παγκόσμιου Οικονομικού Φόρουμ) δεν προβλέπει ουσιαστικά την έκταση των μισθολογικών ανισοτήτων και της άνισης ανταλλαγής, οι οποίες φαίνεται να καθοδηγούνται πρωτίστως από άλλους παράγοντες.
Ο Andrew Fischer έχει παρουσιάσει την εξήγηση του Arthur Lewis για το «γιατί τα τροπικά προϊόντα είναι τόσο φθηνά».3 Ο Lewis έγραφε: ‘Ας πάρουμε, για παράδειγμα, την περίπτωση της ζάχαρης. Πρόκειται για έναν κλάδο στον οποίο η παραγωγικότητα είναι εξαιρετικά υψηλή… [με] ρυθμό αύξησης της παραγωγικότητας που δεν έχει προηγούμενο σε κανέναν άλλο μεγάλο κλάδο παγκοσμίως — σίγουρα όχι στη βιομηχανία του σιταριού. Παρ’ όλα αυτά, οι εργαζόμενοι στη βιομηχανία της ζάχαρης συνεχίζουν να περπατούν ξυπόλυτοι και να ζουν σε παράγκες, ενώ οι εργαζόμενοι στο σιτάρι απολαμβάνουν από τα υψηλότερα επίπεδα διαβίωσης στον κόσμο’. Ο Lewis υποστήριξε ότι οι εθνικοί μισθοί καθορίζονται στον «τομέα της επιβίωσης» και όχι στον εξαγωγικό τομέα, με αποτέλεσμα οι βελτιώσεις της παραγωγικότητας στον τελευταίο να μην μεταφράζονται σε αναλογικά υψηλότερους μισθούς. Ως εκ τούτου, τα οφέλη συσσωρεύονται στους εισαγωγείς του Βορρά, οι οποίοι μπορούν να αγοράζουν μεγαλύτερες ποσότητες του προϊόντος στην ίδια τιμή. Ο Lewis σημείωνε: ‘οι τιμές των τροπικών εμπορικών καλλιεργειών θα επιτρέπουν πάντοτε μόνο μισθούς επιβίωσης έως ότου, για να αλλάξει αυτό, τεθούν το κεφάλαιο και η γνώση στη διάθεση των παραγωγών του τομέα επιβίωσης, προκειμένου να αυξηθεί η παραγωγικότητα της τροπικής παραγωγής τροφίμων για εγχώρια κατανάλωση’».
Ο Fischer γράφει: «Αργότερα στη ζωή του, ο Lewis (1978:36) προέβλεψε με παρόμοιο τρόπο ότι, ακόμη και καθώς οι αναπτυσσόμενες χώρες θα μετακινούνταν προς τις εξαγωγές μεταποιημένων προϊόντων, αυτές οι νέες εξαγωγές θα λειτουργούσαν κατά τρόπο παρόμοιο με τα προηγούμενα αγροτικά εξαγώγιμα εμπορεύματα, με την έννοια ότι η αύξηση της παραγωγικότητας θα μείωνε απλώς τις τιμές αυτών των μεταποιημένων εξαγωγών. Εάν λάβουμε υπόψη τα στοιχεία που παρουσιάζει τακτικά η UNCTAD, για παράδειγμα, η πρόβλεψη αυτή φαίνεται να έχει επαληθευθεί στις τρεις δεκαετίες που ακολούθησαν, τουλάχιστον όσον αφορά τη μεγάλη αύξηση των εξαγωγών μεταποιημένων προϊόντων του Νότου που είναι ενταγμένες σε διεθνή δίκτυα παραγωγής, τα οποία κυριαρχούνται από πολυεθνικές επιχειρήσεις».3
Αυτό συνάδει με όσα κατέδειξε ο Εμμανουήλ, ότι οι δυσμενείς όροι εμπορίου που υφίστανται οι αναπτυσσόμενες χώρες δεν μπορούν να εξηγηθούν από διαφορές στις κατηγορίες προϊόντων. Αξίζει να παρατεθεί εκτενώς:
«Η “επιδείνωση των όρων εμπορίου για τα πρωτογενή προϊόντα” είναι μια οπτική ψευδαίσθηση. Προκύπτει από μια εσφαλμένη ταύτιση των εξαγωγών των πλούσιων χωρών με τις εξαγωγές μεταποιημένων αγαθών και των εξαγωγών των φτωχών χωρών με τις εξαγωγές πρωτογενών προϊόντων. Ο χαλκός της Ζάμπιας ή του Κονγκό και ο χρυσός της Νότιας Αφρικής δεν είναι περισσότερο πρωτογενή από τον άνθρακα, ο οποίος μόλις χθες αποτελούσε μία από τις κύριες εξαγωγές της Μεγάλης Βρετανίας· η ζάχαρη είναι εξίσου “μεταποιημένη” με το σαπούνι ή τη μαργαρίνη και σίγουρα περισσότερο “μεταποιημένη” από το σκωτσέζικο ουίσκι ή τα μεγάλα κρασιά της Γαλλίας· πριν εξαχθούν, ο καφές, το κακάο και το βαμβάκι (ιδίως το βαμβάκι) πρέπει να υποστούν μηχανική επεξεργασία εξίσου εκτενή, αν όχι εκτενέστερη, από εκείνη της σουηδικής ή καναδικής ξυλείας· το πετρέλαιο απαιτεί εγκαταστάσεις εξίσου δαπανηρές με εκείνες του χάλυβα· οι μπανάνες και τα μπαχαρικά δεν είναι περισσότερο πρωτογενή από το κρέας ή τα γαλακτοκομικά προϊόντα. Κι όμως, οι τιμές των πρώτων μειώνονται ενώ εκείνες των δεύτερων αυξάνονται, και το μόνο κοινό χαρακτηριστικό σε κάθε περίπτωση είναι ότι πρόκειται, αντιστοίχως, για προϊόντα φτωχών χωρών και για προϊόντα πλούσιων χωρών. Τα υφαντουργικά προϊόντα αποτελούσαν παλαιότερα έναν από τους πυλώνες του πλούτου των εκβιομηχανισμένων χωρών και το άλογο μάχης της Βρετανίας· από τη στιγμή που έγιναν ειδικότητα των φτωχών χωρών, οι τιμές τους μετά βίας επαρκούν για να εξασφαλίσουν έναν μισθό λιμοκτονίας στους εργαζόμενους που τα παράγουν και ένα μέσο κέρδος στο επενδυμένο κεφάλαιο της παραγωγής τους, ακόμη και όταν η χρησιμοποιούμενη τεχνική είναι η πλέον σύγχρονη. Πρέπει άραγε να υποθέσουμε ότι, από μια εκπληκτική σύμπτωση, ακριβώς τη στιγμή που έλαβε χώρα η αλλαγή τόπου παραγωγής σημειώθηκε και μια αντιστροφή στις ελαστικότητες της ζήτησης; Υπάρχουν πράγματι ορισμένα προϊόντα που είναι, τρόπον τινά, καταραμένα; Ή μήπως υπάρχει, για ορισμένους λόγους που το δόγμα της ακινησίας των συντελεστών μας εμποδίζει να διακρίνουμε, μια συγκεκριμένη κατηγορία χωρών που, ό,τι κι αν αναλάβουν και όποιο κι αν είναι το προϊόν, ανταλλάσσουν πάντοτε μεγαλύτερη ποσότητα εθνικής εργασίας με μικρότερη ποσότητα ξένης εργασίας;» [7]
Είναι σημαντικό ότι οι μεγάλες μισθολογικές ανισότητες μεταξύ Βορρά και Νότου, καθώς και τα πρότυπα άνισης ανταλλαγής, εξακολουθούν να υφίστανται ακόμη και ενώ η βιομηχανική παραγωγή έχει αυξηθεί δραματικά ως ποσοστό της συνολικής παραγωγής και των εξαγωγών του Νότου τις δεκαετίες που ακολούθησαν αφότου ο Εμμανουήλ έγραψε αυτά τα λόγια. Από το 2010, τουλάχιστον το 79% των βιομηχανικών εργαζομένων παγκοσμίως ζει στον Νότο (στοιχεία της ILO), και η πλειονότητα των εξαγωγών του Νότου (70%) αποτελείται από μεταποιημένα αγαθά (στοιχεία της UNCTAD).[8]
Στο κύριο κείμενο σημειώσαμε ότι, στις περιπτώσεις όπου πράγματι υφίστανται διαφορές στη φυσική παραγωγικότητα, αυτές συχνά οφείλονται στο γεγονός ότι είναι πιο κερδοφόρο για το κεφάλαιο να χρησιμοποιεί φθηνότερες, πιο εντατικές σε εργασία μεθόδους, παρά να επενδύει σε σύγχρονο εξοπλισμό — ιδίως σε περιπτώσεις όπου η κρατική επένδυση στην τεχνολογική ανάπτυξη έχει περιοριστεί μέσω προγραμμάτων διαρθρωτικής προσαρμογής ή όπου τα διπλώματα ευρεσιτεχνίας εμποδίζουν την προσιτή πρόσβαση στις αναγκαίες τεχνολογίες — ακριβώς επειδή οι μισθοί στον Νότο διατηρούνται σε τεχνητά χαμηλά επίπεδα. Η διάταξη αυτή ωφελεί τους καταναλωτές του Βορρά μέσω φθηνότερων αγαθών και ωφελεί το κεφάλαιο του Βορρά μέσω αυξημένου πλεονάσματος. Σε τέτοιες περιπτώσεις, η χρήση μεθόδων εντάσεως εργασίας διευκολύνει τη μεταβίβαση αξίας και θα πρέπει να νοείται ως συγκροτούσα άνιση ανταλλαγή.[9] Υπό αυτές τις συνθήκες, ο Νότος εξαναγκάζεται να διαθέτει περισσότερη εργασία στην παραγωγή για το διεθνές εμπόριο από όση θα απαιτούνταν εάν η τεχνολογία αξιοποιούνταν με πιο ορθολογικό και δίκαιο τρόπο, οδηγώντας έτσι στην αποστράγγιση —και τη σπατάλη— μιας κρίσιμης παραγωγικής ικανότητας που θα μπορούσε διαφορετικά να κατευθυνθεί προς την παραγωγή αγαθών και υπηρεσιών αναγκαίων για την τοπική ευημερία και ανάπτυξη.
ΣΣ 3. Σύγκριση με προηγούμενη εργασία
Τα αποτελέσματα αυτής της μελέτης δείχνουν ότι η καθαρή οικειοποίηση ενσωματωμένης του παγκόσμιο Νότου από τον Βορρά είναι σημαντικά μεγαλύτερη από ό,τι υποδεικνύεται σε προηγούμενη μελέτη που βασίστηκε στο μοντέλο EEMRIO EORA, μέχρι το 2015[10]. Αυτό οφείλεται στο γεγονός ότι το μοντέλο EORA υποτιμά συστηματικά τις ροές εργασίας στην παγκόσμια οικονομία σε σύγκριση με άλλα μοντέλα EEMRIO. Το EORA δείχνει ένα παγκόσμιο σύνολο 2,38 δισεκατομμυρίων ανθρωποετών εργασίας το 2015, ενώ πιο πρόσφατα μοντέλα δείχνουν πολύ υψηλότερες τιμές: το Gloria, μια ενημέρωση του EORA, δείχνει 3,13 δισεκατομμύρια, και το EXIOBASE δείχνει 3,55 δισεκατομμύρια για το ίδιο έτος. Το EORA έδειξε ότι ο παγκόσμιος Βορράς (ορισμένος σύμφωνα με την ίδια ομαδοποίηση χωρών που χρησιμοποιούμε σε αυτό το άρθρο) απορρόφησε καθαρά 188 εκατομμύρια ανθρωποέτη από τον παγκόσμιο Νότο το 2015, ενώ η EXIOBASE δείχνει περίπου 78% περισσότερα για το ίδιο έτος.
Η παρούσα έρευνα δείχνει ότι η μελέτη που βασίζεται στο EORA υποτιμά επίσης τη χρηματική αξία της καθαρής οικειοποίησης εργασίας από τον Βορρά. Η μελέτη EORA δεν μπόρεσε να μετρήσει άμεσα την αξία των μισθών της διαρροής, καθώς δεν υπήρχαν διαθέσιμα στοιχεία για τους μισθούς. Αντ’ αυτού, η διαρροή υπολογίστηκε με βάση τις τιμές των εμπορευμάτων που εκτιμήθηκαν με την παραδοχή ότι η εργασία, η γη, η ενέργεια και τα υλικά είχαν ίση συμμετοχή στην TiVA (εμπορική προστιθέμενη αξία), με άλλα λόγια, με κάθε ροή να αποτελεί το 25%. Με αυτή τη μέθοδο, η διαρροή εργατικού δυναμικού εκτιμήθηκε σε 5,1 τρισεκατομμύρια δολάρια το 2015 σε τιμές του Βορρά, με τη γη, την ενέργεια και τα υλικά να αποτελούν άλλα 5,7 τρισεκατομμύρια δολάρια το ίδιο έτος (για συνολική διαρροή 10,8 τρισεκατομμυρίων δολαρίων). Η EXIOBASE δείχνει ότι η εργασία αποτελεί πολύ περισσότερο από το 25% της TiVA (περίπου 50%). Η παρούσα μελέτη που χρησιμοποιεί την EXIOBASE δείχνει ότι η χρηματική αξία της διαρροής εργατικού δυναμικού ήταν 12,8 τρισεκατομμύρια ευρώ το 2015 σε τιμές Βορρά. Η συνολική αξία της διαρροής θα ήταν επομένως περίπου διπλάσια.
Συνοψίζοντας, η μελέτη που βασίζεται στο EORA υποτιμά τη διαρροή εργατικού δυναμικού τόσο από φυσική όσο και από μισθολογική άποψη. Η παρούσα μελέτη αντικαθιστά την προηγούμενη εργασία με ένα πιο σύγχρονο μοντέλο και άμεσα δεδομένα σχετικά με τους μισθούς, παρέχοντας πιο συγκεκριμένα αποτελέσματα. Αξίζει να σημειωθεί, ωστόσο, ότι ενώ οι δύο μελέτες καταλήγουν σε διαφορετικά αποτελέσματα όσον αφορά την κλίμακα της διαρροής εργασίας, τα αποτελέσματα είναι παρόμοια όσον αφορά τις τάσεις στο χρόνο. Και οι δύο μελέτες δείχνουν μια αυξανόμενη απώλεια μέχρι το 2005, ακολουθούμενη από μείωση και σταθεροποίηση (η οποία επιβεβαιώνεται και από αποτελέσματα που βασίζονται σε άλλες μεθόδους[11]).
[1] Amin, S. Unequal development: an essay on the social formations of peripheral capitalism. (Monthly Review Press, 1976).
[2] Fischer, A. M. Beware the Fallacy of Productivity Reductionism. Eur J Dev Res 23, 521–526 (2011).
[3] Fix, B. The trouble with human capital theory. Real World Economics Review 86 (2018).
[4] Makhijani, A. From Global Capitalism to Economic Justice: An Inquiry into the elimination of systemic poverty, violence and environmental destruction in the world. Apex Press (1992).
[5] Amin, S. Unequal development: an essay on the social formations of peripheral capitalism. (Monthly Review Press, 1976).
[6] Dorninger, C. et al. Global patterns of ecologically unequal exchange: Implications for sustainability in the 21st century. Ecological Economics 179, 106824 (2021).
[7] Emmanuel, A. Unequal exchange; a study of the imperialism of trade. (Monthly Review Press, 1972).
[8] Smith, J. C. Imperialism in the twenty-first century: globalization, super-exploitation, and capitalism’s final crisis. (Monthly Review Press, 2016)
[9] Sullivan, D. ‘Unequal Exchange and the question of productivity’ (in submission, 2024).
[10] Hickel, J., Dorninger, C., Wieland, H. & Suwandi, I. Imperialist appropria on in the world economy: Drain from the global South through unequal exchange, 1990–2015. Global Environmental Change 73, 102467 (2022).
[11] Hickel, J., Sullivan, D. & Zoomkawala, H. Plunder in the Post-Colonial Era: Quantifying Drain from the Global South Through Unequal Exchange, 1960–2018. New Political Economy 1–18 (2021).
Σύνοψη αναφοράς
Περισσότερες πληροφορίες σχετικά με το σχεδιασμό της έρευνας διατίθενται στη Σύνοψη Αναφοράς Χαρτοφυλακίου της Nature που συνδέεται με αυτό το άρθρο.
Διαθεσιμότητα δεδομένων
Όλα τα δεδομένα εξήχθησαν από την βάση δεδομένων EXIOBASE, όπως περιγράφονται στη Μεθοδολογία. Πρόσβαση της βάσης δεδομένων EXIOBASE μπορεί να γίνει στον παρακάτω σύνδεσμο: https://www.exiobase.eu/.
Αναφορές
[1] Patnaik, U. & Patnaik, P. Capital and Imperialism: Theory, History, and the Present (Monthly Review Press, 2021).
[2] Rodney, W. How Europe Underdeveloped Africa (Bogle-L’Ouverture, 1972).
[3] Wallerstein, I. M. The Modern World-System. 1: Capitalist Agriculture and the Origins of the European World-Economy in the Sixteenth Century (Academic Press, 1975).
[4] Pomeranz, K. The Great Divergence: China, Europe, and the Making of the Modern World Economy (Princeton Univ. Press, 2020).
[5] Grosfoguel, R. Decolonizing post-colonial studies and paradigms of political-economy: transmodernity, decolonial thinking, and global coloniality. Transmodernity 1, 14–52 (2011).
[6] Galeano, E. Open Veins of Latin America: Five Centuries of the Pillage of a Continent (Monthly Review Press, 1973).
[7] Nkrumah, K. Neo-colonialism: The Last Stage of Imperialism (International Publ, 1976).
[8] Moore, J. W. Capitalism in the Web of Life: Ecology and the Accumulation of Capital (Verso, 2015).
[9] Amin, S. Unequal Development: An Essay on the Social Formations of Peripheral Capitalism (Monthly Review Press, 1976).
[10] Emmanuel, A. Unequal Exchange; A Study of the Imperialism of Trade (Monthly Review Press, 1972).
[11] Marini, R. M, & Sader, E. Dialéctica de la dependencia Vol. 22 (Ediciones Era, 1977).
[12] Ricci, A. Global locational inequality: assessing unequal exchange effects. Environ. Plan A 54, 1323–1340 (2022).
[13] Suwandi, I. Value Chains: The New Economic Imperialism (Monthly Review Press, 2019).
[14] Smith, J. C. Imperialism in the Twenty-first Century: Globalization, Super-Exploitation, and Capitalism’s Final Crisis (Monthly Review Press, 2016).
[15] Hickel, J., Sullivan, D. & Zoomkawala, H. Plunder in the post-colonial era: quantifying drain from the global South through unequal exchange, 1960–2018. New Polit. Econ. 26, 1–18 (2021).
[16] Abouharb, M. R. & Cingranelli, D. Human Rights and Structural Adjustment (Cambridge Univ. Press, 2007).
[17] Chang, H. Bad Samaritans: The Myth of Free Trade and the Secret History of Capitalism. (Bloomsbury Publishing, 2019).
[18] Silva, D. F. da. Unpayable Debt (Sternberg Press, 2022).
[19] Clelland, D. A. The core of the apple: degrees of monopoly and dark value in global commodity chains. J. World Syst. Res. 20, 82–111 (2014).
[20] Cope, Z. The Wealth of (Some) Nations (Pluto Press, 2019).
[21] Kohler, G. The structure of global money and world tables of unequal exchange. J. World Syst. Res. 4, 145–168 (1998).
[22] Dorninger, C. et al. Global patterns of ecologically unequal exchange: Implications for sustainability in the 21st century. Ecol. Econ. 179, 106824 (2021).
[23] Hickel, J., Dorninger, C., Wieland, H. & Suwandi, I. Imperialist appropriation in the world economy: drain from the global South through unequal exchange, 1990–2015. Glob. Environ. Change 73, 102467 (2022).
[24] Pérez-Sánchez, L., Velasco-Fernández, R. & Giampietro, M. The international division of labor and embodied working time in trade for the US, the EU and China. Ecol. Econ. 180, 106909 (2021).
[25] Leibowiz, G. Apple CEO. Tim Cook: this is the number one reason we make iPhones in China (it’s not what you think). Inc (21 December 2017).
[26] Isaacson, W. Steve Jobs (Little, Brown, 2011).
[27] Fischer, A. M. Beware the fallacy of productivity reductionism. Eur. J. Dev. Res 23, 521–526 (2011).
[28] Fix, B. The trouble with human capital theory. Real World Econ. Rev. 86 15–32 (2018).
[29] Baerresen, D. W. The Border Industrialization Program of Mexico (Health Lexington Books, 1971).
[30] Suwandi, I., Jonna, R. J. & Foster, J. B. Global commodity chains and the new imperialism. Monthly Rev. 70 (2019).
[31] Goldman, D. Why Apple will never bring manufacturing jobs back to the US. CNN Business (2012).
[32] Ngai, P. & Chan, J. Global capital, the state, and Chinese workers: the Foxconn experience. Mod. China 38, 383–410 (2012).
[33] Patnaik, P. & Patnaik, U. A Theory of Imperialism (Columbia Univ. Press, 2017).
[34] Francis, G. & Sutcliffe, B. The Profit System: The Economics of Capitalism (Penguin, 1987).
[35] Hickel, J. & Sullivan, D. Capitalism, global poverty, and the case for democratic socialism. Monthly Rev. 75, 99–113 (2023).
[36] Wishart, W. R. Underdeveloping Appalachia: Toward an Environmental Sociology of Extractive Economies. PhD thesis (University of Oregon, 2014).
[37] Ossome, L. & Sirisha, N. The Agrarian Question Of Gendered Labour in Labour Questions In The Global South (eds. Jha, P., Chambati, W. & Ossome, L.) (Palgrave Macmillan, 2021).
[38] Dunaway, W. A. (ed.) Gendered Commodity Chains: Seeing Women’s Work and Households in Global Production (Stanford Univ. Press, 2013).
[39] Alsamawi, A., McBain, D., Murray, J., Lenzen, M. & Wiebe, K. S. The Social Footprints of Global Trade (Springer, 2017).
[40] Geschke, A., Malik, A., Murray, J. The Social Effects of Global Trade: Quantifying Impacts Using Multi-Regional Input-Output Analysis (Pan Stanford Publishing, 2018).
[41] Kitzes, J. An introduction to environmentally-extended input-output analysis. Resources 2, 489–503 (2013).
[42] Brockway, P. E., Owen, A., Brand-Correa, L. & Hardt, L. Estimation of global final-stage energy-return-on-investment for fossil fuels with comparison to renewable energy sources. Nat. Energy 4, 612–621 (2019).
[43] Ivanova, D. & Wieland, H. Tracing carbon footprints to intermediate industries in the United Kingdom. Ecol. Econ. 214, 107996 (2023).
[44] Miller, R. E. & Blair, P. D. Input-Output Analysis: Foundations and Extensions (Cambridge Univ. Press, 2009).
[45] Stadler, K. et al. EXIOBASE 3: developing a time series of detailed environmentally extended multi-regional input-output tables. J. Ind. Ecol. 22, 502–515 (2018).
[46] Stadler, K. et al. D5.3 Integrated report on EE IO related macro resource indicator time series. https://lca-net.com/files/DESIRE_ D5_3_main-plus-annexes-v2.pdf (2015).
[47] ILO. in International Standard Classification of Occupations 2008 (International Labour Office, 2012).
[48] Gilboy, G. J. & Heginbotham, E. Chinese and Indian Strategic Behavior: Growing Power and Alarm (Cambridge Univ. Press, 2012).
[49] Anand, S. & Segal, P. What do we know about global income inequality? J. Econ. Lit. 46, 57–94 (2008).
[50] Arrighi, G., Silver, B. J. & Brewer, B. D. Industrial convergence, globalization, and the persistence of the North–South divide. St. Comp. Int. Dev. 38, 3–31 (2003).
[51] Wade, R. H. Is globalization reducing poverty and inequality? World Dev. 32, 567–589 (2004).
Συμπληρωματικές Πληροφορίες
Στον παρακάτω σύνδεσμο μπορείτε να βρείτε τις συμπληρωματικές πληροφορίες του άρθρου: https://doi.org/10.1038/s41467-024-49687-y.
